Официальное опубликование правовых актов
ОФИЦИАЛЬНОЕ ОПУБЛИКОВАНИЕ
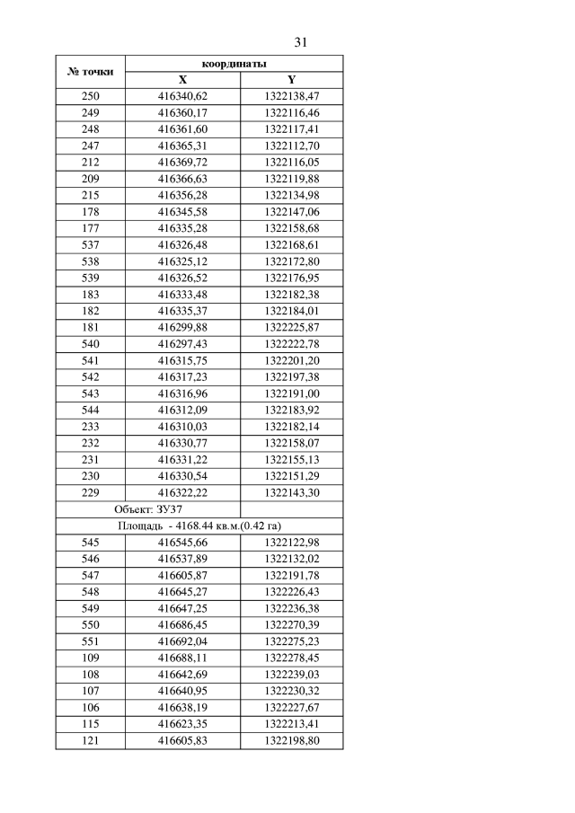
Приказ управления строительства и архитектуры Липецкой области от 26.12.2022 № 565
"Об утверждении проекта межевания территории, ограниченной улицами им. Генерала Меркулова, Водопьянова, проспектом Победы и проспектом Имени 60-летия СССР в городе Липецке"
Номер опубликования: 4801202212300002
Дата опубликования: 30.12.2022
Страница №33 из 46:
Увеличить