Официальное опубликование правовых актов
ОФИЦИАЛЬНОЕ ОПУБЛИКОВАНИЕ
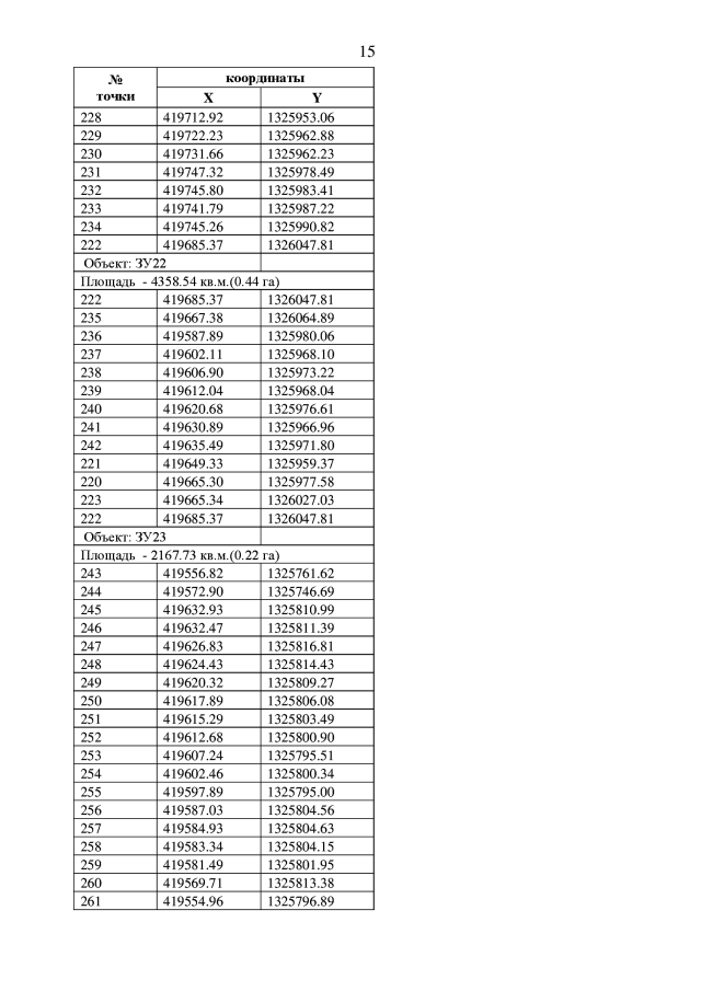
Приказ управления строительства и архитектуры Липецкой области от 27.12.2022 № 575
"Об утверждении проекта межевания территории, ограниченной улицами Гагарина, Плеханова, Желябова в городе Липецке"
Номер опубликования: 4801202212290012
Дата опубликования: 29.12.2022
Страница №17 из 27:
Увеличить