Официальное опубликование правовых актов
ОФИЦИАЛЬНОЕ ОПУБЛИКОВАНИЕ
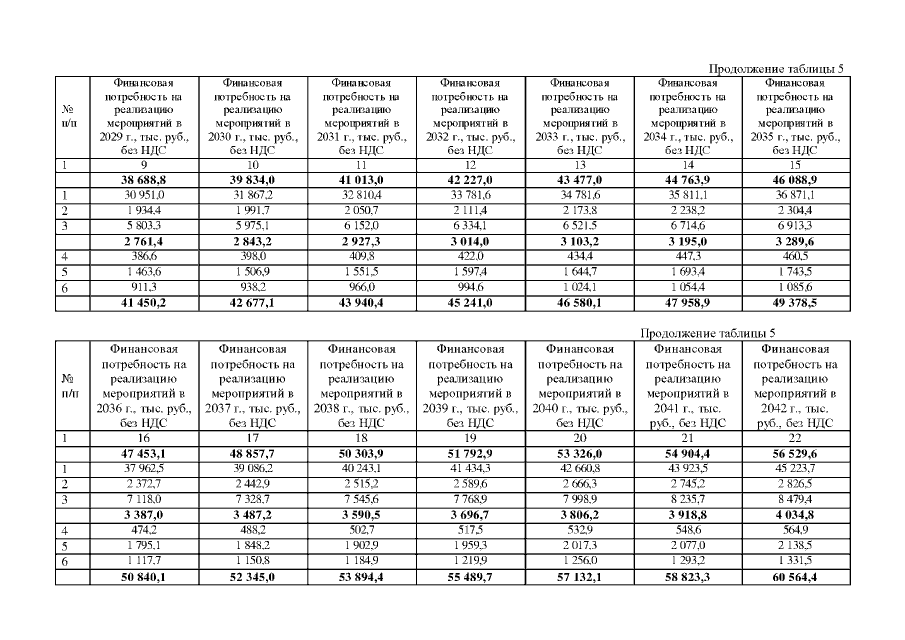
Постановление управления энергетики и тарифов Липецкой области от 24.11.2022 № 53/14
"О тарифах на питьевую воду, поставляемую ООО "РВК-Липецк" (ИНН 7730263904), на период с 1 января 2023 года по 31 декабря 2042 года и о введении их в действие с 1 декабря 2022 года"
Номер опубликования: 4801202211300061
Дата опубликования: 30.11.2022
Страница №18 из 28:
Увеличить