Официальное опубликование правовых актов
ОФИЦИАЛЬНОЕ ОПУБЛИКОВАНИЕ
Постановление управления энергетики и тарифов Липецкой области от 18.11.2022 № 49/4
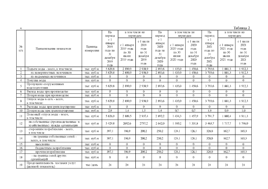
"О внесении изменений в постановление управления энергетики и тарифов Липецкой области от 17 декабря 2018 года № 51/14 "О тарифах на техническую воду и долгосрочных параметрах регулирования ООО "ЛТК "Свободный сокол" на 2019-2023 годы"
Номер опубликования: 4801202211250013
Дата опубликования: 25.11.2022
Страница №3 из 7:
Увеличить