Официальное опубликование правовых актов
ОФИЦИАЛЬНОЕ ОПУБЛИКОВАНИЕ
Постановление управления энергетики и тарифов Липецкой области от 18.11.2022 № 49/7
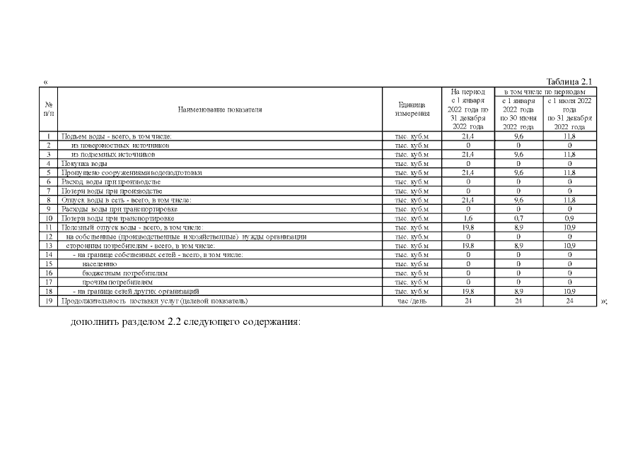
"О внесении изменений в постановление управления энергетики и тарифов Липецкой области от 17 декабря 2018 года № 51/1 "О тарифах на питьевую воду и долгосрочных параметрах регулирования ОАО "Российские железные дороги" на территории Липецкой области на 2019-2023 годы"
Номер опубликования: 4801202211250012
Дата опубликования: 25.11.2022
Страница №9 из 19:
Увеличить