Официальное опубликование правовых актов
ОФИЦИАЛЬНОЕ ОПУБЛИКОВАНИЕ
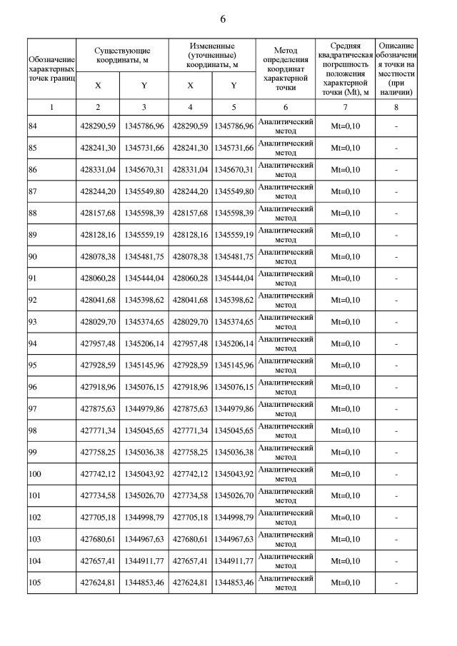
Приказ управления строительства и архитектуры Липецкой области от 20.09.2022 № 378
"Об утверждении генерального плана сельского поселения Бутырский сельсовет Грязинского муниципального района Липецкой области"
Номер опубликования: 4801202209280006
Дата опубликования: 28.09.2022
Страница №15 из 37:
Увеличить