Официальное опубликование правовых актов
ОФИЦИАЛЬНОЕ ОПУБЛИКОВАНИЕ
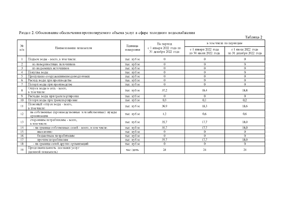
Постановление Управления энергетики и тарифов Липецкой области от 17.12.2021 № 46/9
"О тарифах на транспортировку питьевой воды ООО "КОМУС" (ИНН 4826080261) на 2022 год"
Номер опубликования: 4801202112230023
Дата опубликования: 23.12.2021
Страница №4 из 7:
Увеличить