Официальное опубликование правовых актов
ОФИЦИАЛЬНОЕ ОПУБЛИКОВАНИЕ
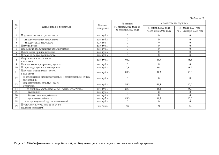
Постановление Управления энергетики и тарифов Липецкой области от 17.12.2021 № 46/26
"О тарифах на транспортировку технической воды индивидуального предпринимателя Задояной Ксении Анатольевны на 2022 год"
Номер опубликования: 4801202112230019
Дата опубликования: 23.12.2021
Страница №4 из 7:
Увеличить