Официальное опубликование правовых актов
ОФИЦИАЛЬНОЕ ОПУБЛИКОВАНИЕ
Постановление Управления энергетики и тарифов Липецкой области от 17.12.2021 № 46/30
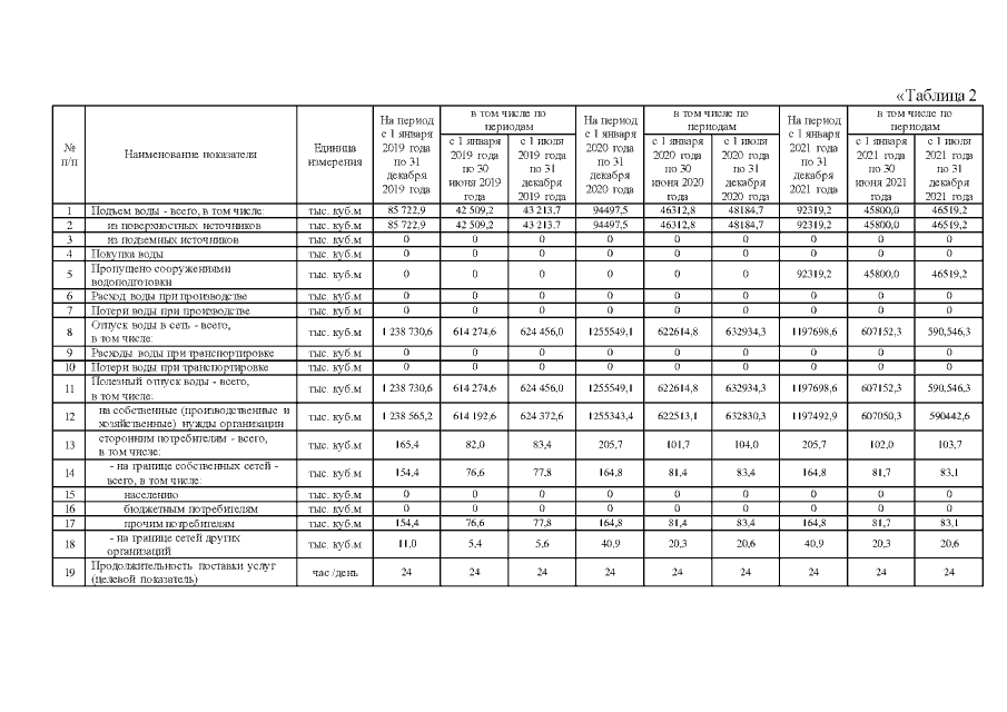
"О внесении изменений в постановление управления энергетики и тарифов Липецкой области от 19 декабря 2018 года № 53/9 "О тарифах на техническую воду и долгосрочных параметрах регулирования ПАО "Новолипецкий металлургический комбинат" на 2019-2023 годы"
Номер опубликования: 4801202112230015
Дата опубликования: 23.12.2021
Страница №2 из 5:
Увеличить