Официальное опубликование правовых актов
ОФИЦИАЛЬНОЕ ОПУБЛИКОВАНИЕ
Постановление Управления энергетики и тарифов Липецкой области от 26.11.2021 № 32/6
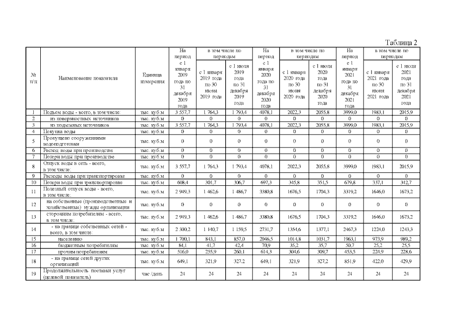
"О внесении изменений в постановление управления энергетики и тарифов Липецкой области от 19 декабря 2018 года № 53/29 "О тарифах на питьевую воду и долгосрочных параметрах регулирования ООО "Водоканал", г. Грязи на 2019-2023 годы"
Номер опубликования: 4801202112010015
Дата опубликования: 01.12.2021
Страница №4 из 9:
Увеличить