Официальное опубликование правовых актов
ОФИЦИАЛЬНОЕ ОПУБЛИКОВАНИЕ
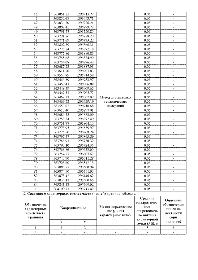
Постановление Управления энергетики и тарифов Липецкой области от 19.11.2021 № 30/10
"Об утверждении границ охранных зон газораспределительных сетей АО "Газпром газораспределение Липецк"
Номер опубликования: 4801202111260013
Дата опубликования: 26.11.2021
Страница №50 из 97:
Увеличить