Официальное опубликование правовых актов
ОФИЦИАЛЬНОЕ ОПУБЛИКОВАНИЕ
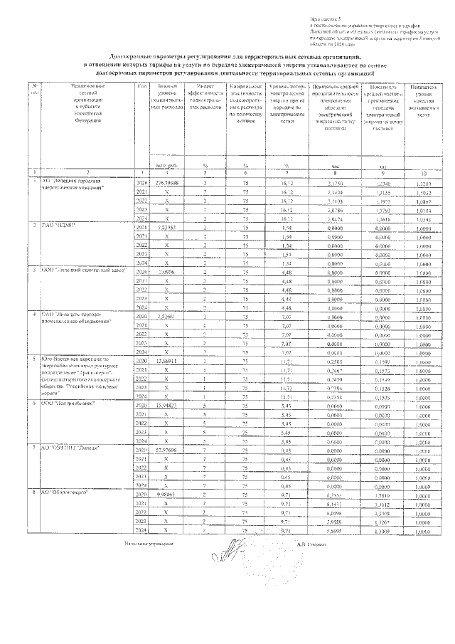
Постановление Управления энергетики и тарифов Липецкой области от 25.12.2019 № 51/3
"О единых (котловых) тарифах на услуги по передаче электрической энергии на территории Липецкой области на 2020 год"
Номер опубликования: 4801201912270003
Дата опубликования: 27.12.2019
Страница №10 из 14:
Увеличить