Официальное опубликование правовых актов
ОФИЦИАЛЬНОЕ ОПУБЛИКОВАНИЕ
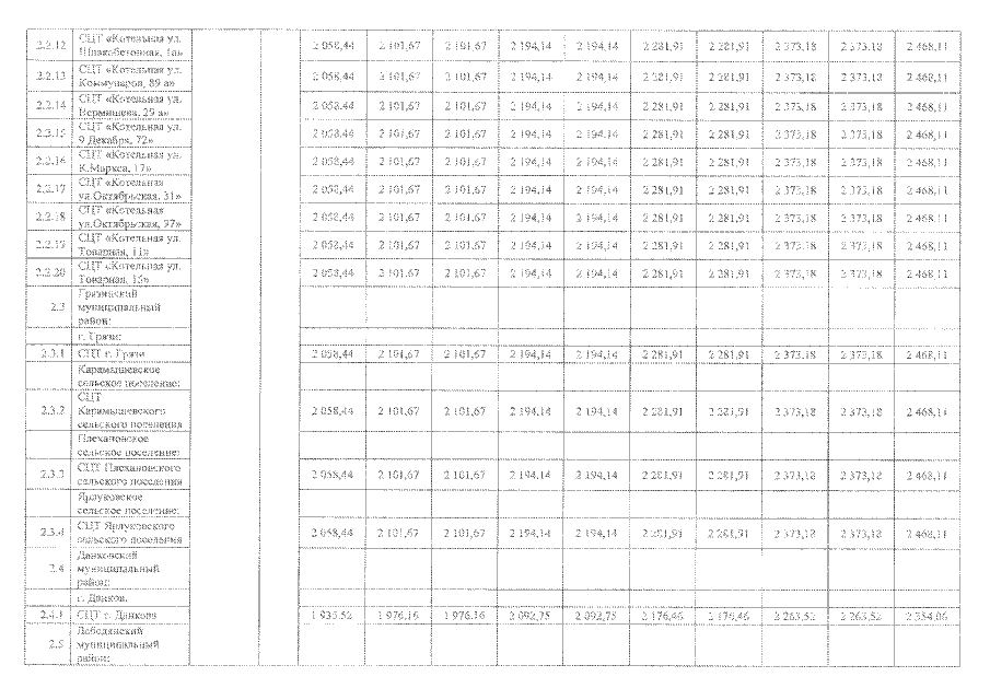
Постановление Управления энергетики и тарифов Липецкой области от 17.12.2019 № 46/2
"О внесении изменений в постановление управления энергетики и тарифов Липецкой области от 18 декабря 2018 года № 52/2 "О тарифах на тепловую энергию и долгосрочных параметрах регулирования ПАО "Квадра" на территории Липецкой области на 2019-2023 годы"
Номер опубликования: 4801201912240037
Дата опубликования: 24.12.2019
Страница №6 из 8:
Увеличить