Приказ Государственной инспекции по надзору за техническим состоянием самоходных машин и других видов техники Липецкой области от 18.11.2019 № 183
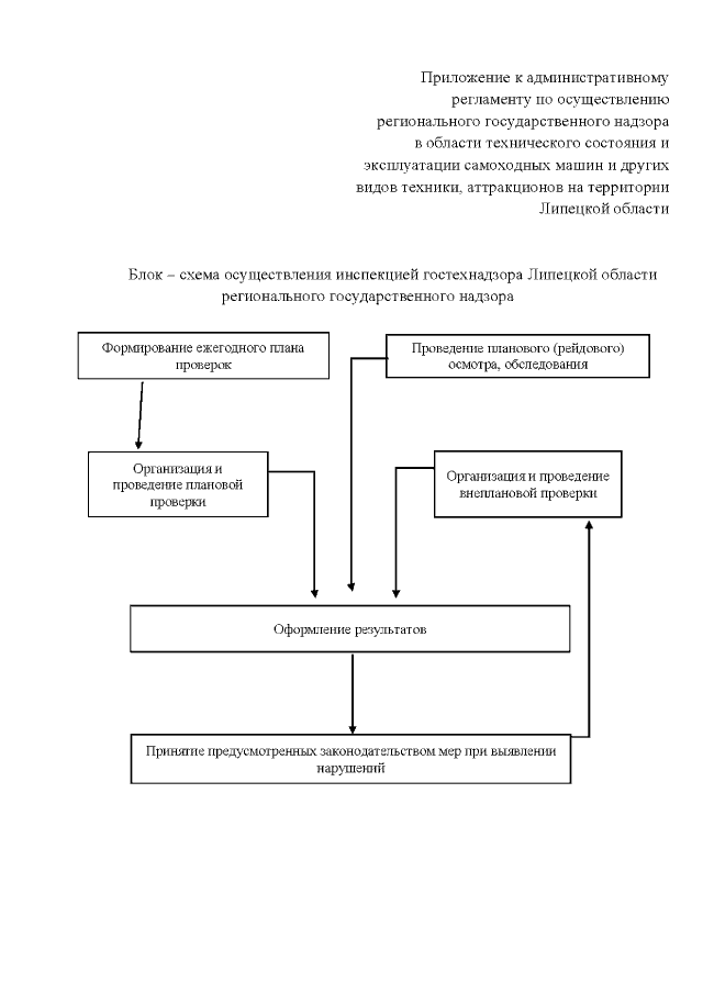
"Об утверждении административного регламента по осуществлению регионального государственного надзора в области технического состояния и эксплуатации самоходных машин и других видов техники, аттракционов на территории Липецкой области"
"Об утверждении административного регламента по осуществлению регионального государственного надзора в области технического состояния и эксплуатации самоходных машин и других видов техники, аттракционов на территории Липецкой области"
Номер опубликования: 4801201911200002
Дата опубликования:
20.11.2019
