Официальное опубликование правовых актов
ОФИЦИАЛЬНОЕ ОПУБЛИКОВАНИЕ
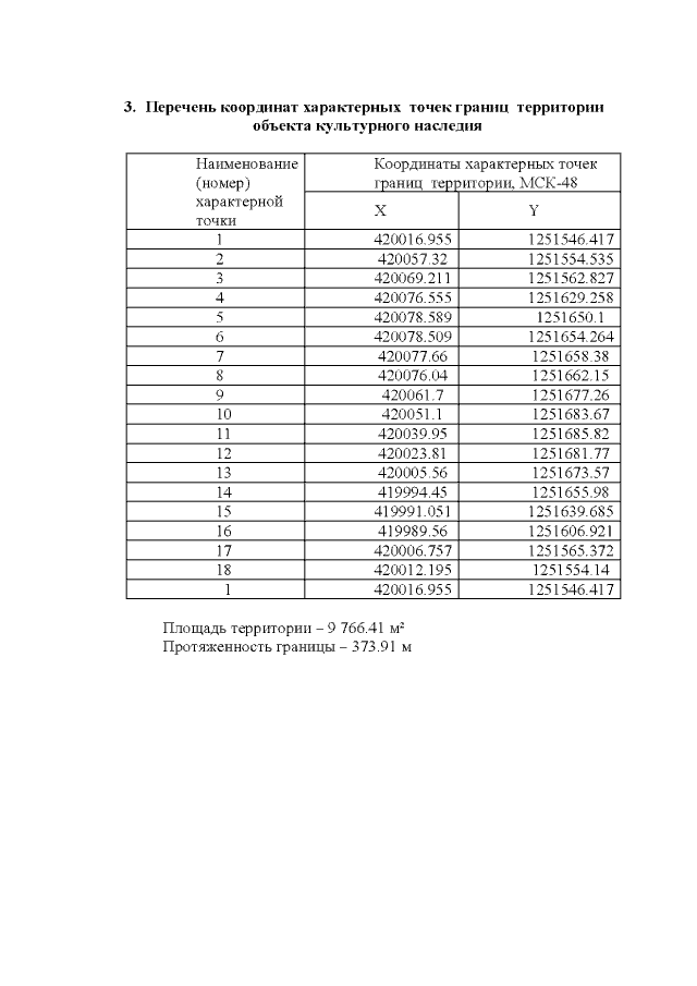
Приказ управления по охране объектов культурного наследия Липецкой области от 20.09.2019 № 71
"Об утверждении границ и режима использования территории объекта культурного наследия федерального значения "Братская могила жертв татаро-монгольского нашествия 1395 г.", местоположение: Липецкая область, г. Елец, в пределах земельного участка под Ансамблем Вознесенского собора"
Номер опубликования: 4801201909250004
Дата опубликования: 25.09.2019
Страница №5 из 7:
Увеличить