Официальное опубликование правовых актов
ОФИЦИАЛЬНОЕ ОПУБЛИКОВАНИЕ
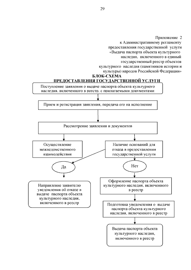
Приказ Управления по охране объектов культурного наследия Липецкой области от 15.02.2019 № 2-П
"Об утверждении административного регламента предоставления государственной услуги "Выдача паспорта объекта культурного наследия, включенного в единый государственный реестр объектов культурного наследия (памятников истории и культуры) народов Российской Федерации"
Номер опубликования: 4801201902200005
Дата опубликования: 20.02.2019
Страница №29 из 33:
Увеличить