Официальное опубликование правовых актов
ОФИЦИАЛЬНОЕ ОПУБЛИКОВАНИЕ
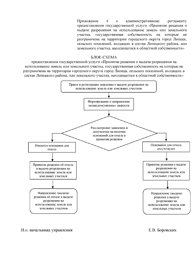
Приказ Управления имущественных и земельных отношений Липецкой области от 12.12.2018 № 126
"О внесении изменений в приказ управления имущественных и земельных отношений Липецкой области от 4 июля 2018 года № 70 "Об утверждении административного регламента предоставления государственной услуги "Принятие решения о выдаче разрешения на использование земель или земельного участка, государственная собственность на которые не разграничена на территории городского округа город Липецк, сельских поселений, входящих в состав Липецкого района, или земельного участка, находящегося в областной собственности"
Номер опубликования: 4801201812180010
Дата опубликования: 18.12.2018
Страница №29 из 29:
Увеличить