Официальное опубликование правовых актов
ОФИЦИАЛЬНОЕ ОПУБЛИКОВАНИЕ
Приказ Управления имущественных и земельных отношений Липецкой области от 12.12.2018 № 127
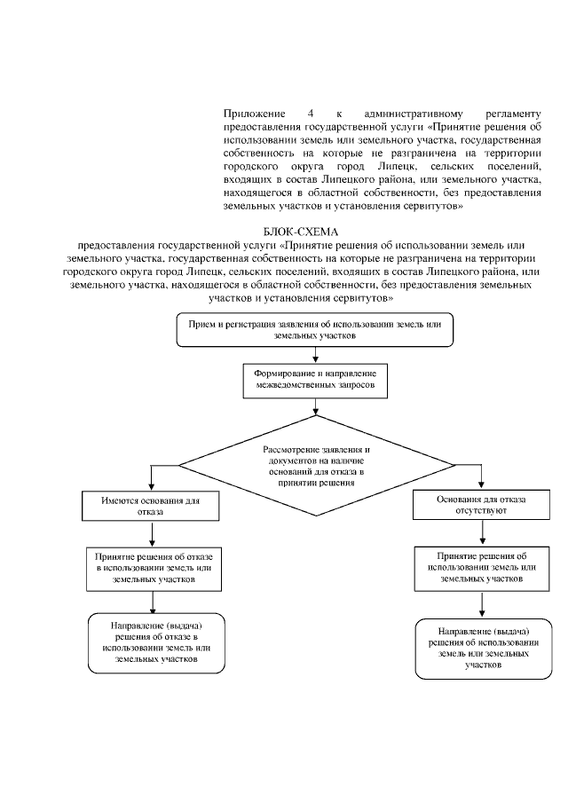
"Об утверждении административного регламента предоставления государственной услуги "Принятие решения об использовании земель или земельного участка, государственная собственность на которые не разграничена на территории городского округа город Липецк, сельских поселений, входящих в состав Липецкого района, или земельного участка, находящегося в областной собственности, без предоставления земельных участков и установления сервитутов"
Номер опубликования: 4801201812180001
Дата опубликования: 18.12.2018
Страница №32 из 32:
Увеличить