Официальное опубликование правовых актов
ОФИЦИАЛЬНОЕ ОПУБЛИКОВАНИЕ
Постановление Правительства Липецкой области от 25.02.2026 № 52
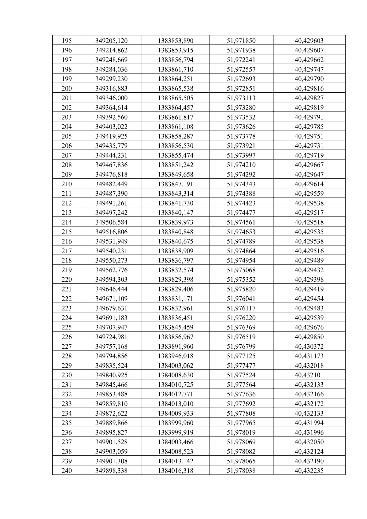
"Об установлении местоположения береговой линии (границы водного объекта), границы водоохранных зон и границы прибрежных защитных полос реки Самовочка, реки без названия, у с. Жёлтые Пески, ручья Малей, пруда у с. Малей, водохранилища на ручье Семеновский"
Номер опубликования: 4800202602260001
Дата опубликования: 26.02.2026
Страница №62 из 931:
Увеличить