Официальное опубликование правовых актов
ОФИЦИАЛЬНОЕ ОПУБЛИКОВАНИЕ
Постановление Правительства Липецкой области от 24.02.2026 № 50
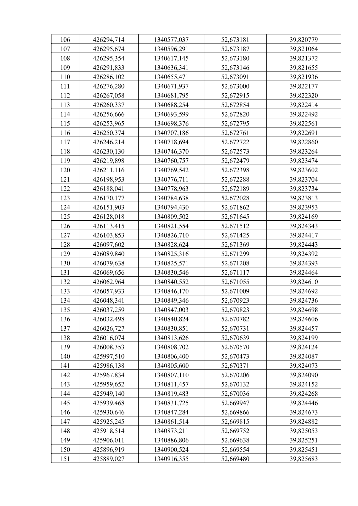
"Об установлении местоположения береговой линии (границы водного объекта), границы водоохранных зон и границы прибрежных защитных полос рек Босолук, Раковая Ряса и пруда на р. Босолук"
Номер опубликования: 4800202602250002
Дата опубликования: 25.02.2026
Страница №71 из 954:
Увеличить