Официальное опубликование правовых актов
ОФИЦИАЛЬНОЕ ОПУБЛИКОВАНИЕ
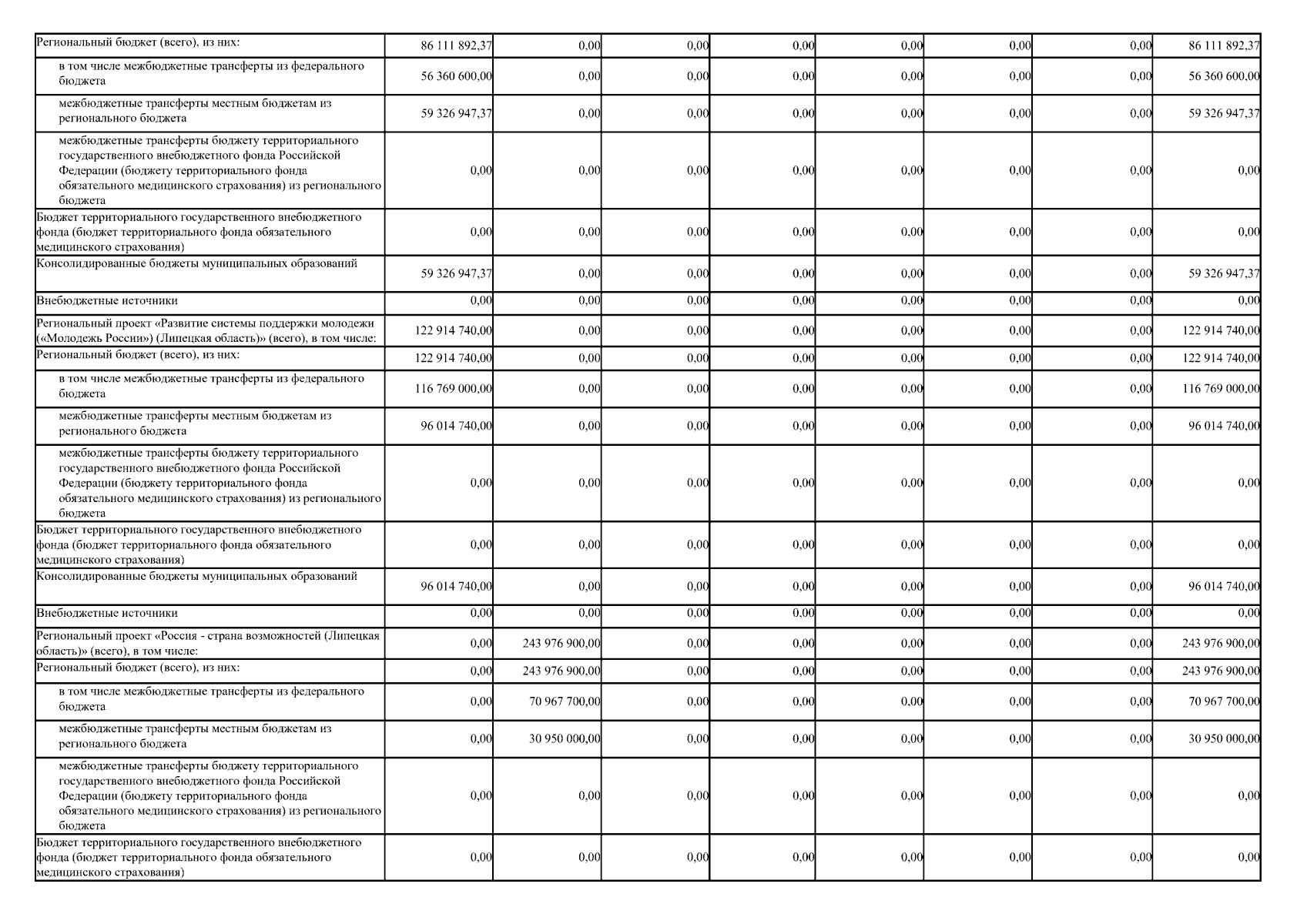
Постановление Правительства Липецкой области от 01.12.2025 № 597
"О внесении изменений в постановление Правительства Липецкой области от 8 декабря 2023 года № 700 "Об утверждении государственной программы Липецкой области "Реализация внутренней политики Липецкой области"
Номер опубликования: 4800202512020001
Дата опубликования: 02.12.2025
Страница №4 из 8:
Увеличить