Официальное опубликование правовых актов
ОФИЦИАЛЬНОЕ ОПУБЛИКОВАНИЕ
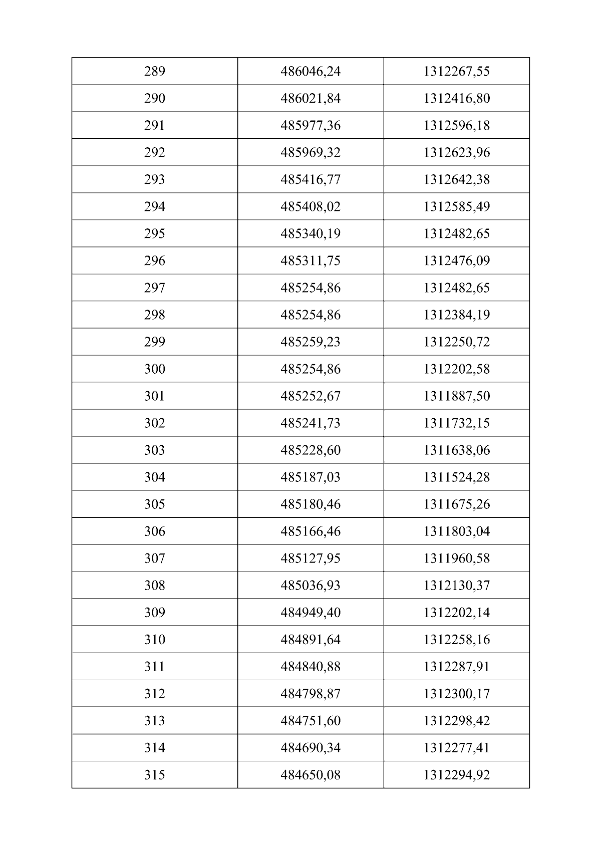
Закон Липецкой области от 01.10.2025 № 696-ОЗ
"О границах муниципальных образований Липецкой области"
Номер опубликования: 4800202510020013
Дата опубликования: 02.10.2025
Страница №2171 из 2206:
Увеличить