Постановление Правительства Липецкой области от 29.09.2025 № 489
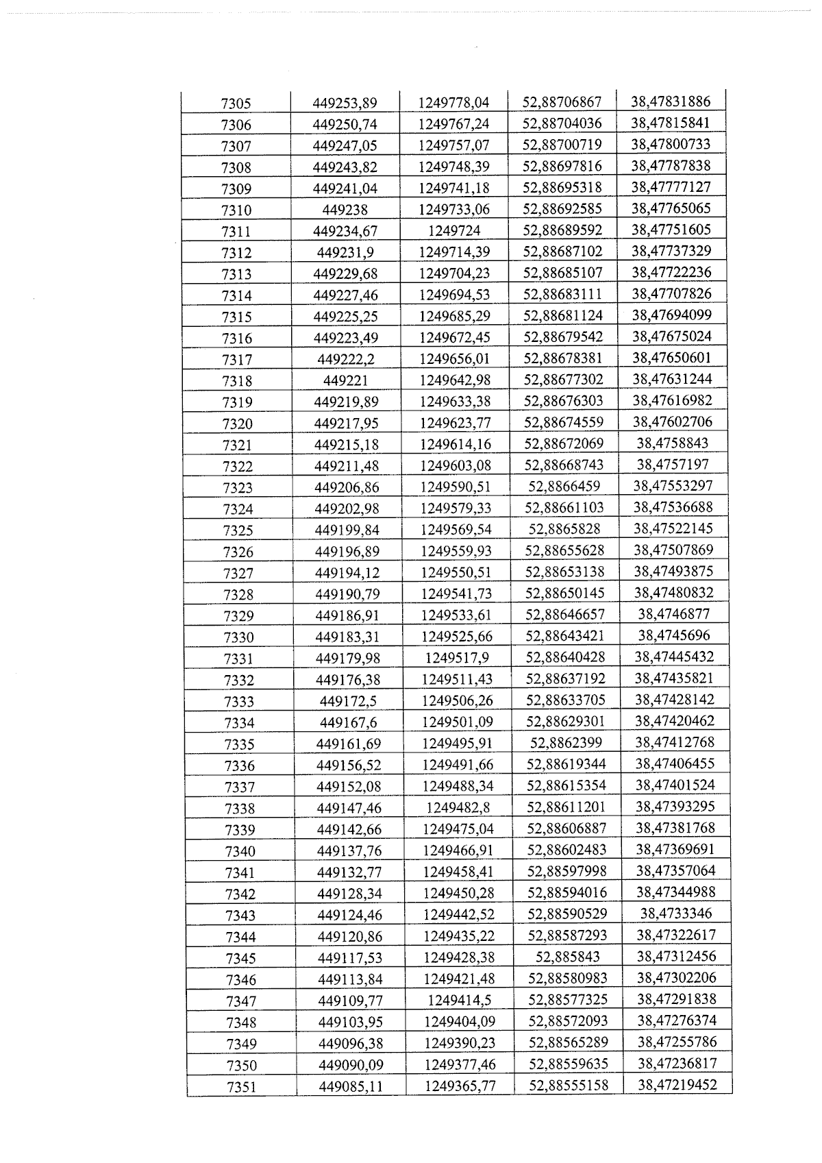
"Об установлении местоположения береговой линии (границы водного объекта), границы водоохранных зон и границы прибрежных защитных полос реки Пальна (Паленка)"
"Об установлении местоположения береговой линии (границы водного объекта), границы водоохранных зон и границы прибрежных защитных полос реки Пальна (Паленка)"
Номер опубликования: 4800202510010003
Дата опубликования:
01.10.2025
