Официальное опубликование правовых актов
ОФИЦИАЛЬНОЕ ОПУБЛИКОВАНИЕ
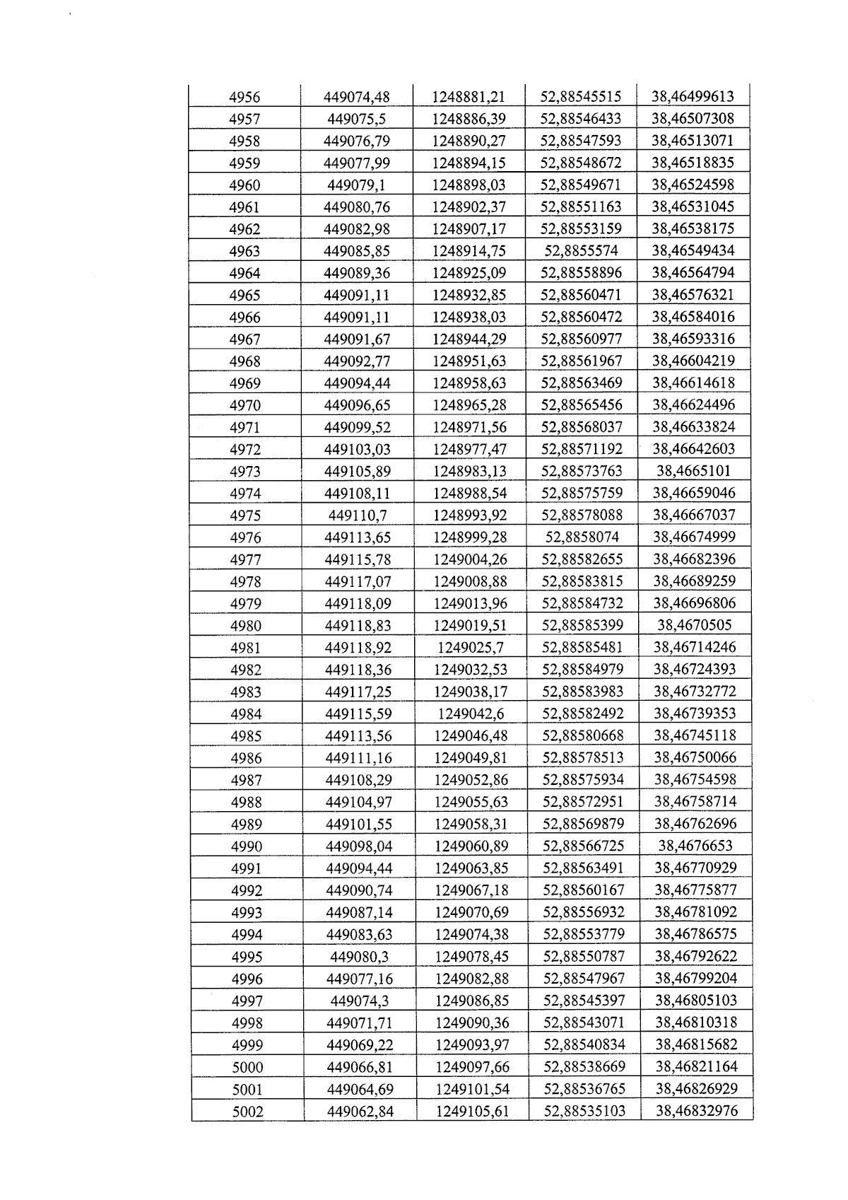
Постановление Правительства Липецкой области от 29.09.2025 № 489
"Об установлении местоположения береговой линии (границы водного объекта), границы водоохранных зон и границы прибрежных защитных полос реки Пальна (Паленка)"
Номер опубликования: 4800202510010003
Дата опубликования: 01.10.2025
Страница №109 из 1206:
Увеличить