Официальное опубликование правовых актов
ОФИЦИАЛЬНОЕ ОПУБЛИКОВАНИЕ
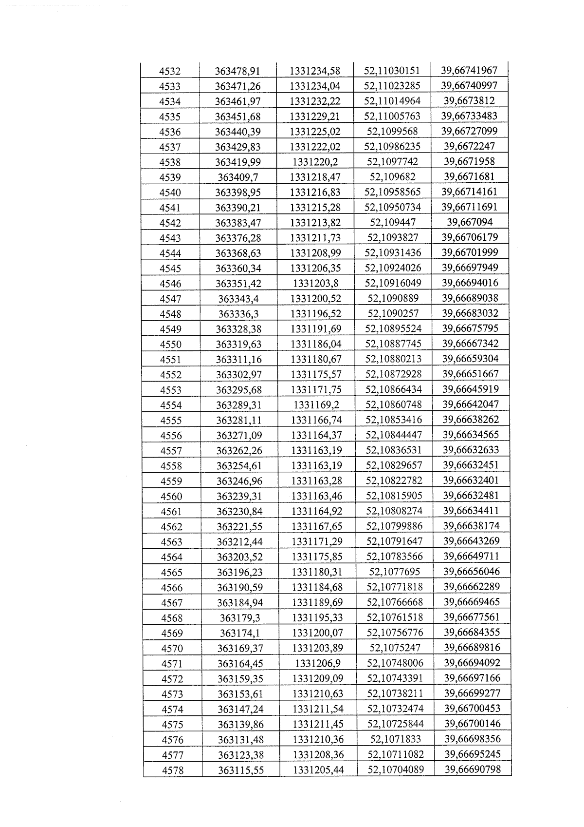
Постановление Правительства Липецкой области от 25.09.2025 № 480
"Об установлении местоположения береговой линии (границы водного объекта), границы водоохранных зон и границы прибрежных защитных полос реки Полевая Излегоща"
Номер опубликования: 4800202509290039
Дата опубликования: 29.09.2025
Страница №258 из 757:
Увеличить