Официальное опубликование правовых актов
ОФИЦИАЛЬНОЕ ОПУБЛИКОВАНИЕ
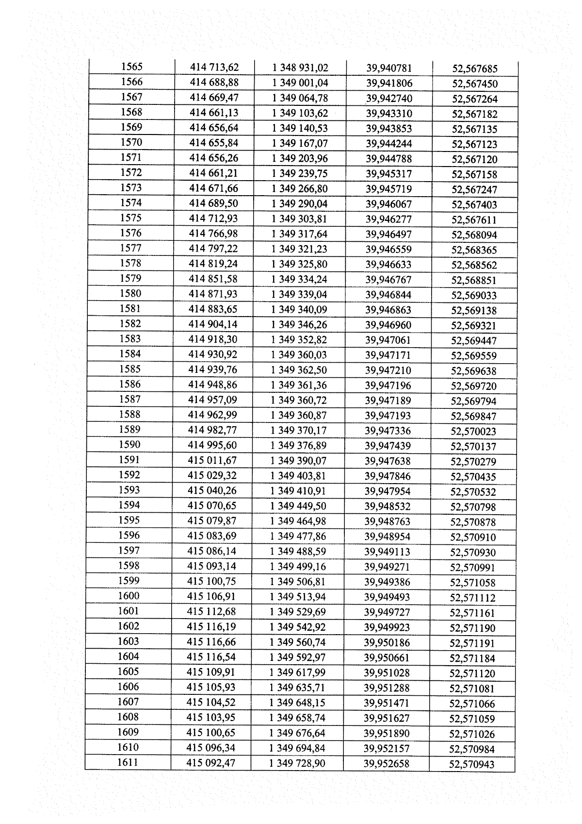
Постановление Правительства Липецкой области от 24.09.2025 № 465
"Об установлении местоположения береговой линии (границы водного объекта), границы водоохранных зон и границы прибрежных защитных полос рек Телелюй, Самовец, Большой Самовец, Битюг, водохранилища на р. Телелюй"
Номер опубликования: 4800202509290001
Дата опубликования: 29.09.2025
Страница №233 из 618:
Увеличить