Официальное опубликование правовых актов
ОФИЦИАЛЬНОЕ ОПУБЛИКОВАНИЕ
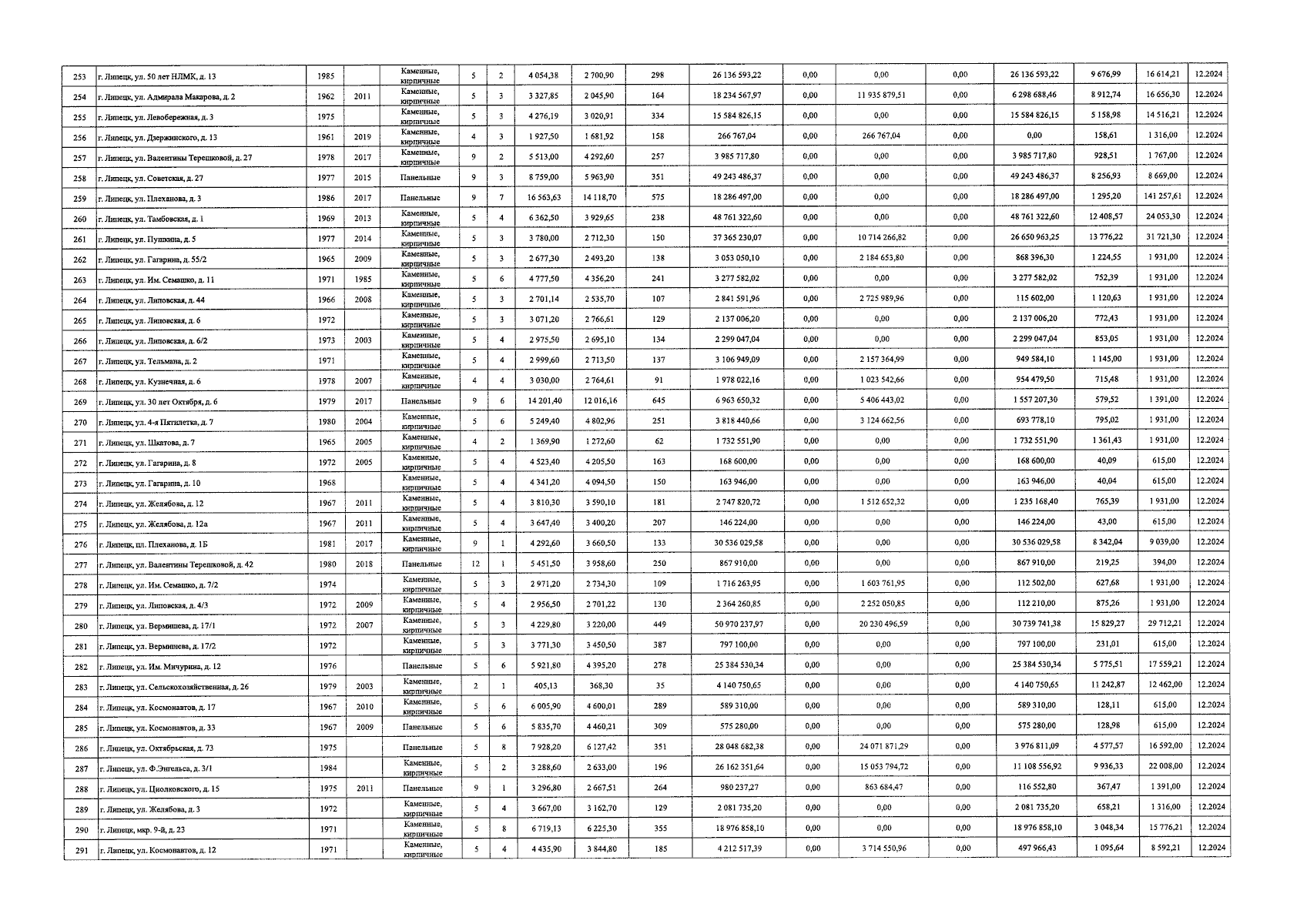
Постановление Правительства Липецкой области от 22.09.2025 № 461 "О внесении изменения в постановление Правительства Липецкой области от 9 марта 2023 года № 111 "Об утверждении краткосрочного плана реализации областной программы капитального ремонта общего имущества в многоквартирных домах на 2023 — 2025 годы"
Номер опубликования: 4800202509260001
Дата опубликования: 26.09.2025
Страница №16 из 69:
Увеличить