Официальное опубликование правовых актов
ОФИЦИАЛЬНОЕ ОПУБЛИКОВАНИЕ
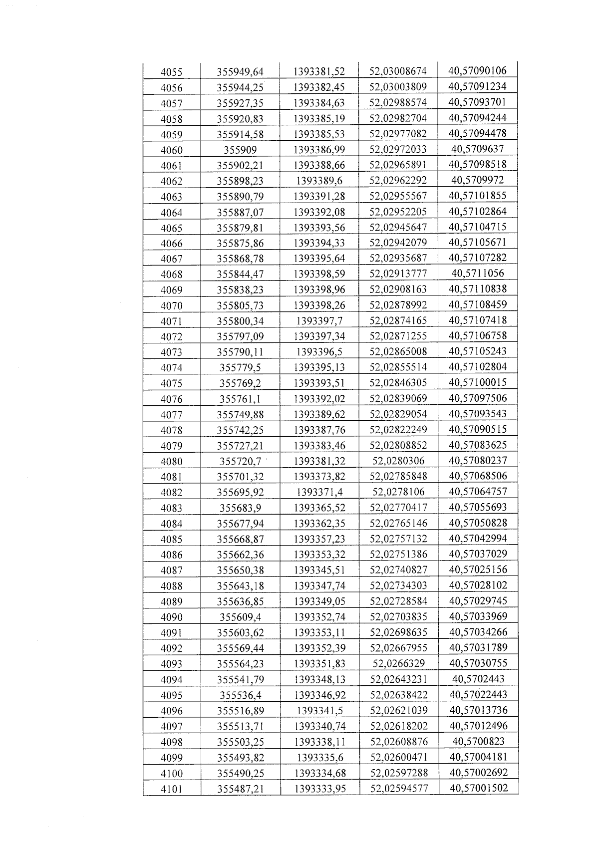
Постановление Правительства Липецкой области от 17.09.2025 № 459
"Об установлении местоположения береговой линии (границы водного объекта), границы водоохранных зон и границы прибрежных защитных полос реки Чамлык (Чемлык)"
Номер опубликования: 4800202509190001
Дата опубликования: 19.09.2025
Страница №224 из 630:
Увеличить