Официальное опубликование правовых актов
ОФИЦИАЛЬНОЕ ОПУБЛИКОВАНИЕ
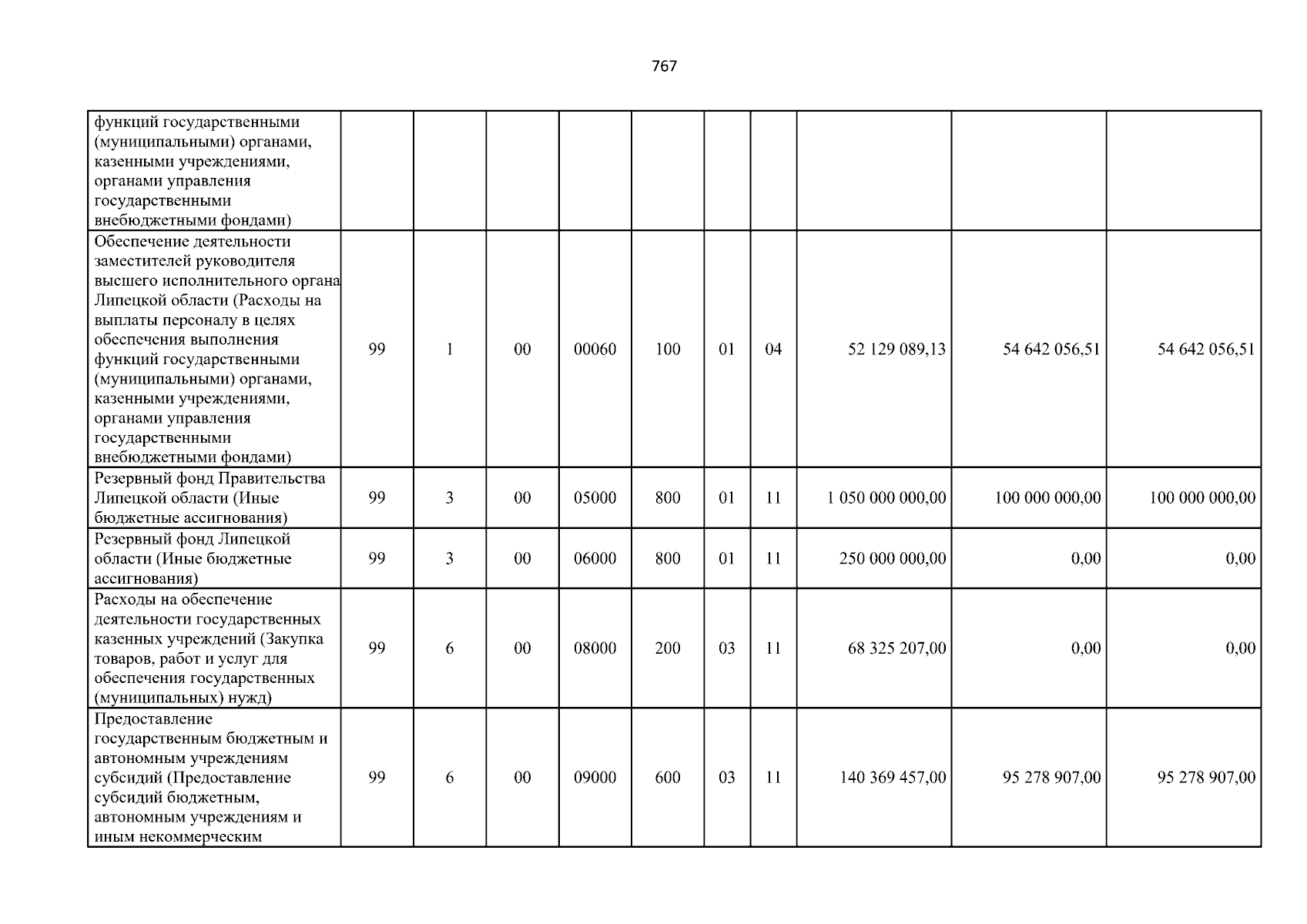
Закон Липецкой области от 24.07.2025 № 682-ОЗ
"О внесении изменений в Закон Липецкой области "Об областном бюджете на 2025 год и на плановый период 2026 и 2027 годов"
Номер опубликования: 4800202507250009
Дата опубликования: 25.07.2025
Страница №767 из 856:
Увеличить