Официальное опубликование правовых актов
ОФИЦИАЛЬНОЕ ОПУБЛИКОВАНИЕ
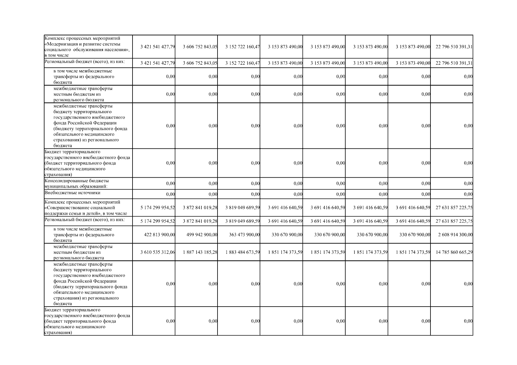
Постановление Правительства Липецкой области от 07.07.2025 № 349
"О внесении изменений в постановление Правительства Липецкой области от 28 декабря 2023 года № 811 "Об утверждении государственной программы Липецкой области "Социальная поддержка граждан, реализация семейно-демографической политики Липецкой области"
Номер опубликования: 4800202507150001
Дата опубликования: 15.07.2025
Страница №14 из 43:
Увеличить