Официальное опубликование правовых актов
ОФИЦИАЛЬНОЕ ОПУБЛИКОВАНИЕ
Постановление Правительства Липецкой области от 23.05.2025 № 275
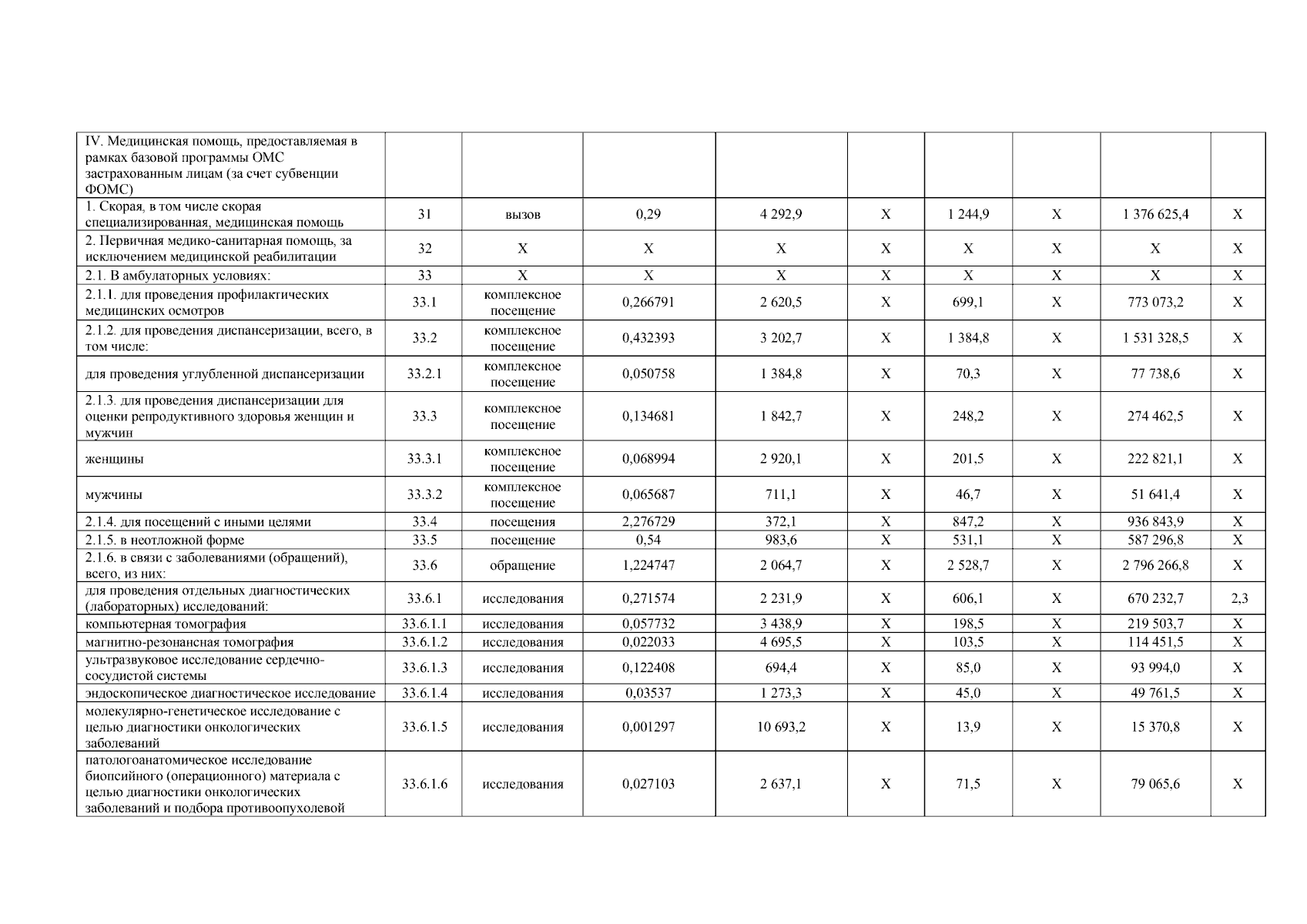
"О внесении изменений в постановление Правительства Липецкой области от 28 декабря 2024 года № 739 "Об утверждении Программы государственных гарантий бесплатного оказания гражданам на территории Липецкой области медицинской помощи на 2025 год и на плановый период 2026 и 2027 годов"
Номер опубликования: 4800202505260007
Дата опубликования: 26.05.2025
Страница №17 из 75:
Увеличить