Официальное опубликование правовых актов
ОФИЦИАЛЬНОЕ ОПУБЛИКОВАНИЕ
Постановление Правительства Липецкой области от 11.04.2025 № 193
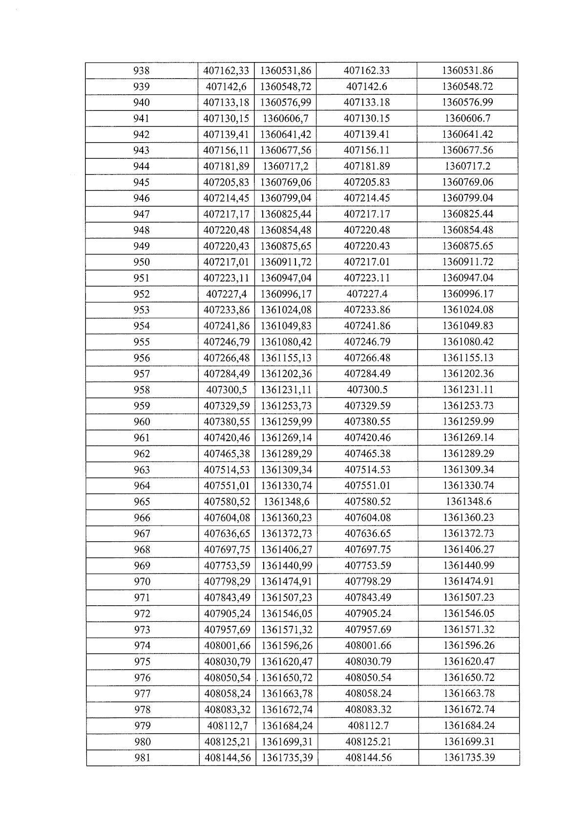
"Об установлении местоположения береговой линии (границы водного объекта), границы водоохранных зон и границы прибрежных защитных полос реки Матыра"
Номер опубликования: 4800202504110001
Дата опубликования: 11.04.2025
Страница №25 из 189:
Увеличить