Официальное опубликование правовых актов
ОФИЦИАЛЬНОЕ ОПУБЛИКОВАНИЕ
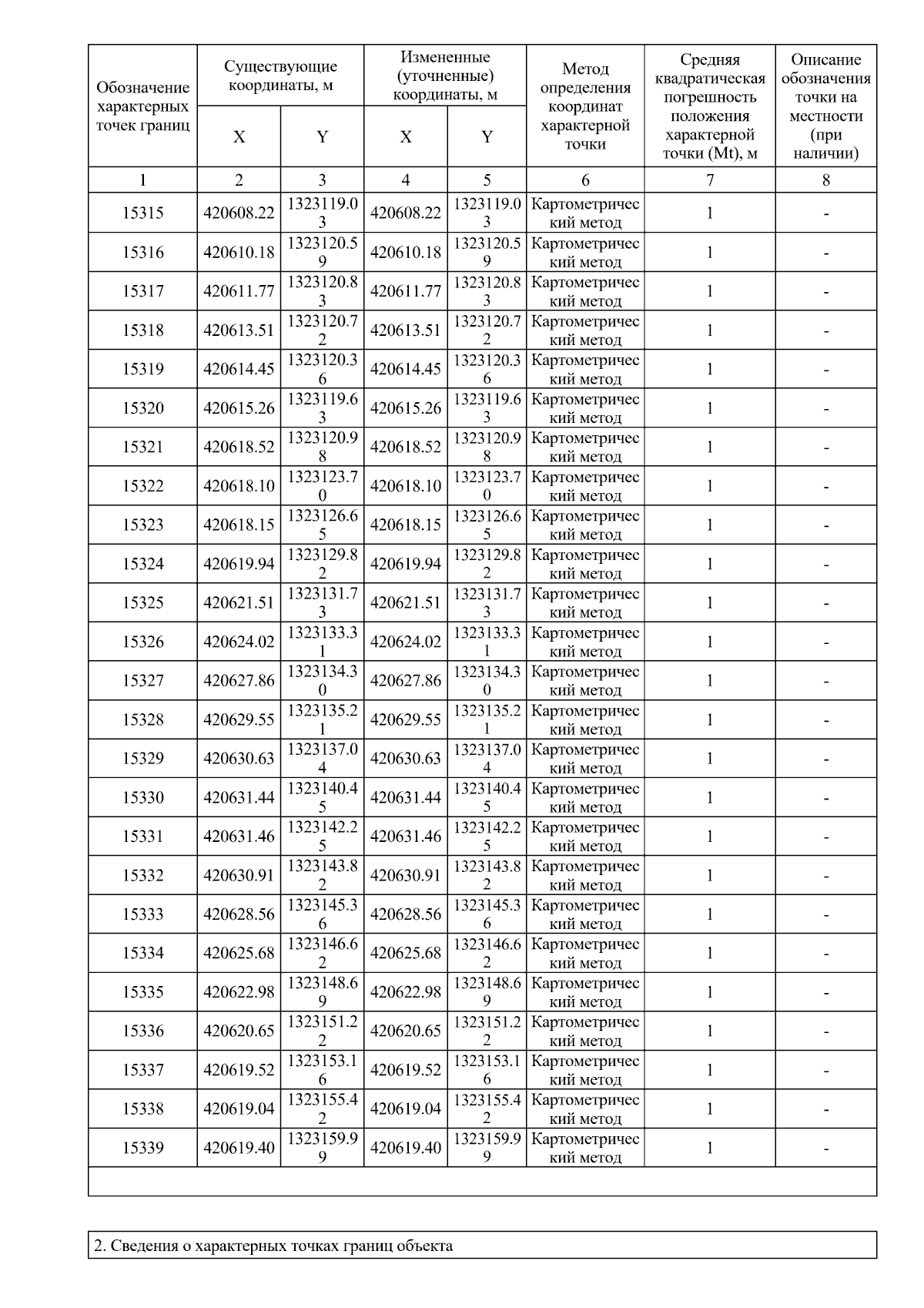
Постановление Правительства Липецкой области от 04.04.2025 № 172
"О внесении изменений в постановление Правительства Липецкой области от 13 июня 2024 года N° 336 "Об утверждении правил землепользования и застройки городского округа город Липецк Липецкой области"
Номер опубликования: 4800202504100005
Дата опубликования: 10.04.2025
Страница №3991 из 4250:
Увеличить