Официальное опубликование правовых актов
ОФИЦИАЛЬНОЕ ОПУБЛИКОВАНИЕ
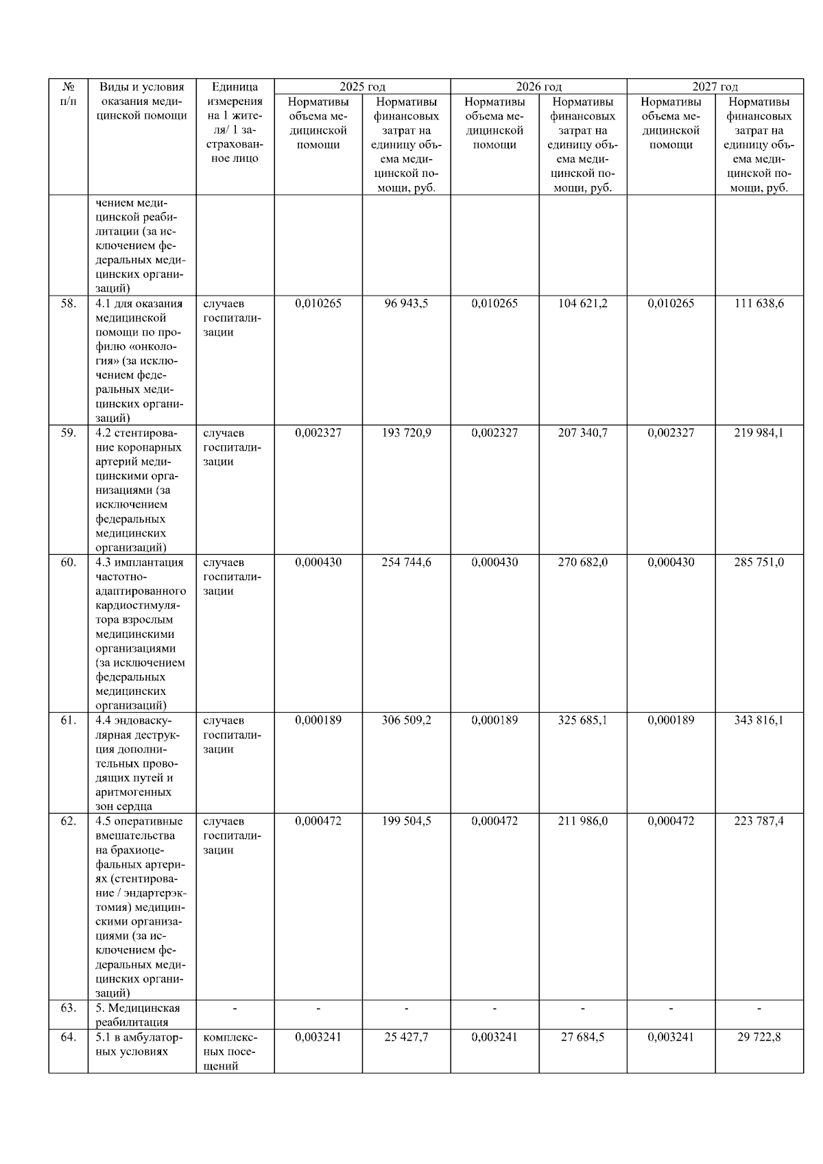
Постановление Правительства Липецкой области от 28.12.2024 № 739
"Об утверждении Программы государственных гарантий бесплатного оказания гражданам на территории Липецкой области медицинской помощи на 2025 год и на плановый период 2026 и 2027 годов"
Номер опубликования: 4800202501050001
Дата опубликования: 05.01.2025
Страница №114 из 235:
Увеличить