Официальное опубликование правовых актов
ОФИЦИАЛЬНОЕ ОПУБЛИКОВАНИЕ
Постановление Правительства Липецкой области от 27.12.2024 № 716
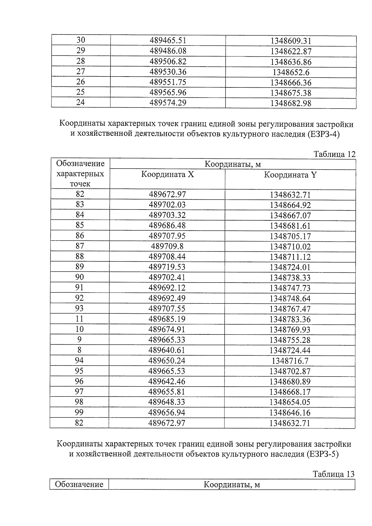
"Об установлении границ объединенной зоны охраны объектов культурного наследия регионального значения: "Бывшее двухэтажное здание типографии братьев Колпаковых", расположенного по адресу: Липецкая область, г. Чаплыгин, ул. Кирова, 25, и "Дом, в котором в 1860 — 1869 гг. проживал поэт-революционер Л.П. Радин", расположенного по адресу: Липецкая область, г. Чаплыгин, ул. Кирова 27, и утверждении требований к градостроительным регламентам в границах территории данной зоны"
Номер опубликования: 4800202412280002
Дата опубликования: 28.12.2024
Страница №14 из 22:
Увеличить