Официальное опубликование правовых актов
ОФИЦИАЛЬНОЕ ОПУБЛИКОВАНИЕ
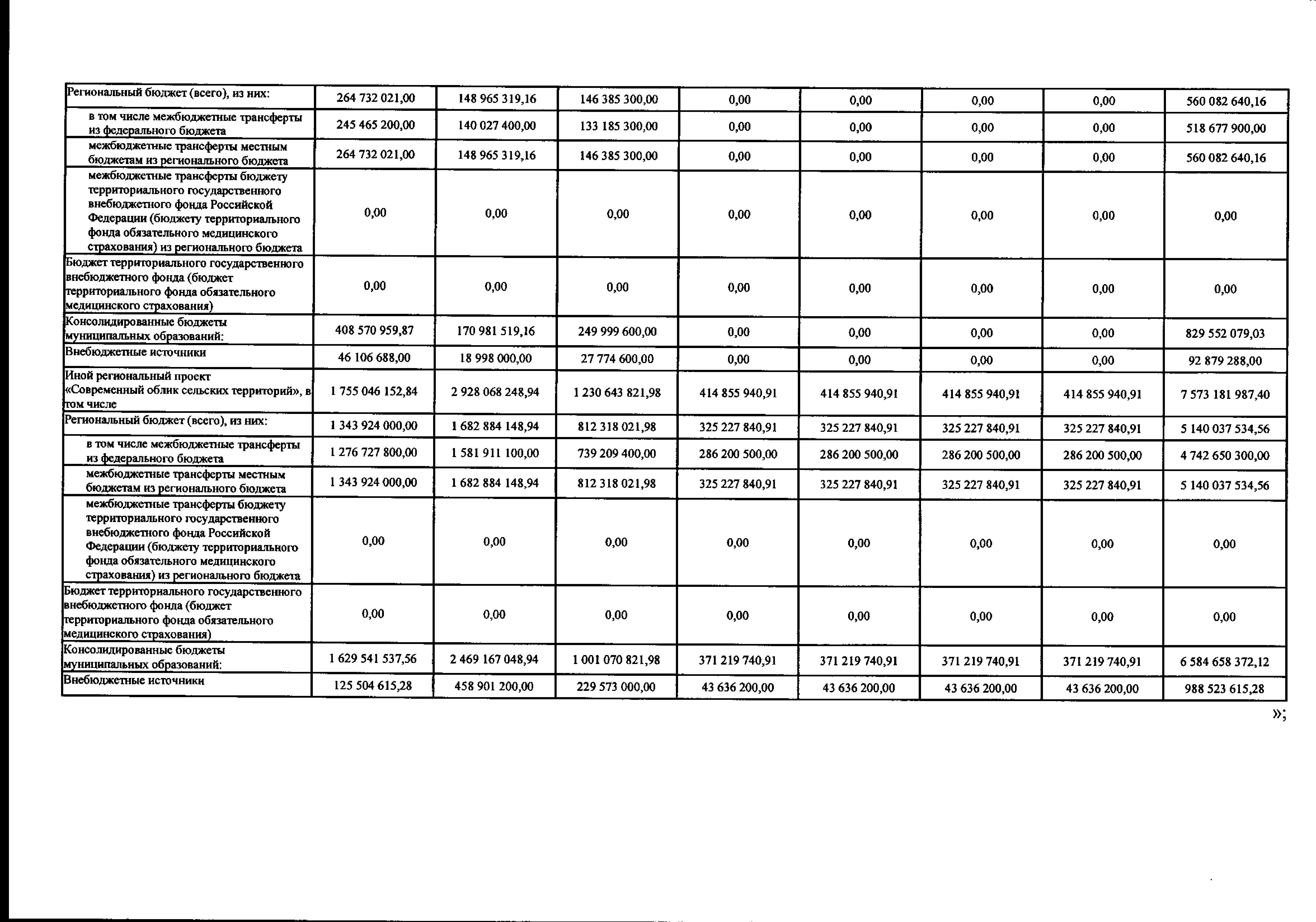
Постановление Правительства Липецкой области от 27.12.2024 № 715
"О внесении изменений в постановление Правительства Липецкой области от 4 декабря 2023 года № 666 "Об утверждении комплексной государственной программы Липецкой области "Комплексное развитие сельских территорий Липецкой области"
Номер опубликования: 4800202412280001
Дата опубликования: 28.12.2024
Страница №13 из 18: