Официальное опубликование правовых актов
ОФИЦИАЛЬНОЕ ОПУБЛИКОВАНИЕ
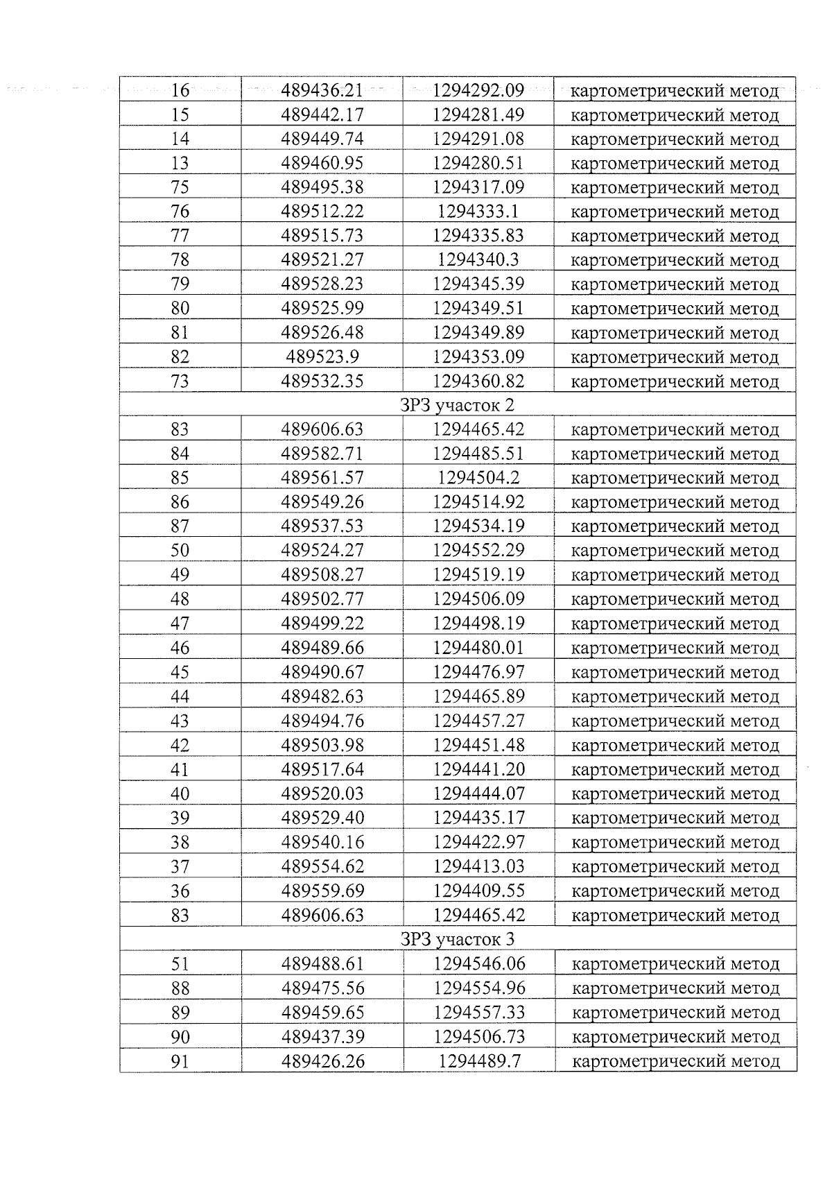
Постановление Правительства Липецкой области от 29.10.2024 № 599
"Об установлении границ зон охраны объекта культурного наследия регионального значения "Церковь Богословская", 1875 г., расположенного по адресу: Липецкая область, Данковский район, г. Данков, ул. 8 Марта и ул. Мира, и утверждении требований к градостроительным регламентам в границах территорий данных зон"
Номер опубликования: 4800202411010006
Дата опубликования: 01.11.2024
Страница №16 из 21:
Увеличить