Официальное опубликование правовых актов
ОФИЦИАЛЬНОЕ ОПУБЛИКОВАНИЕ
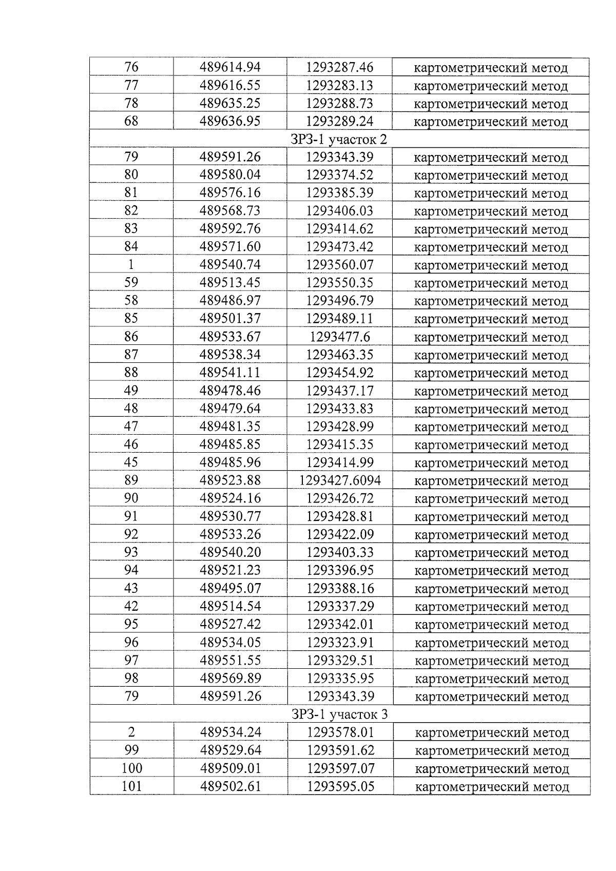
Постановление Правительства Липецкой области от 16.10.2024 № 578
"Об установлении границ зон охраны объекта культурного наследия регионального значения "Тихвинский собор", 1860 г., расположенного по адресу: Липецкая область, Данковский район, г. Данков, пл. Советская, и утверждении требований к градостроительным регламентам в границах территории данных зон"
Номер опубликования: 4800202410160002
Дата опубликования: 16.10.2024
Страница №17 из 33:
Увеличить