Официальное опубликование правовых актов
ОФИЦИАЛЬНОЕ ОПУБЛИКОВАНИЕ
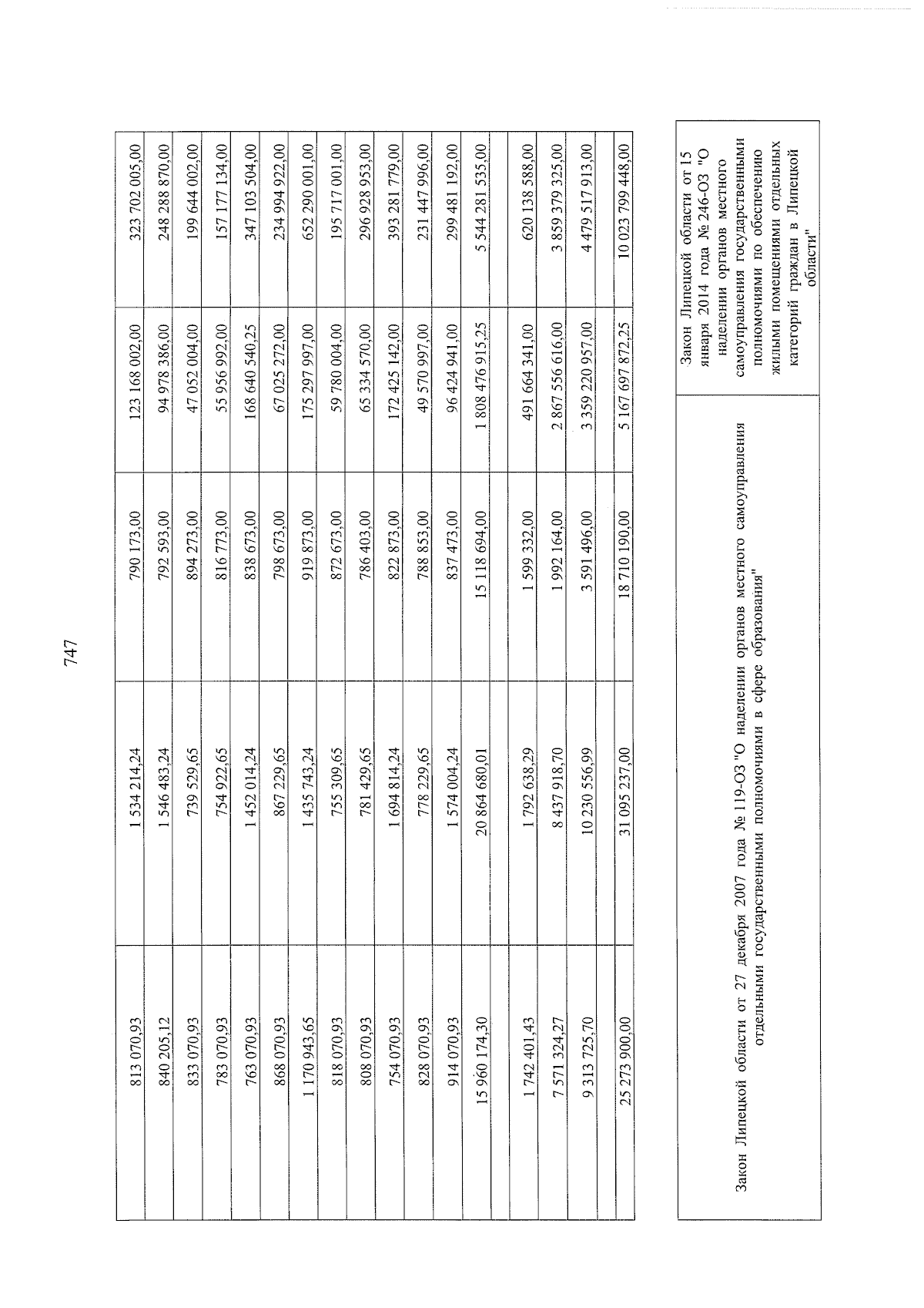
Закон Липецкой области от 26.09.2024 № 517-ОЗ
"О внесении изменений в Закон Липецкой области "Об областном бюджете на 2024 год и на плановый период 2025 и 2026 годов"
Номер опубликования: 4800202409270002
Дата опубликования: 27.09.2024
Страница №747 из 850:
Увеличить