Официальное опубликование правовых актов
ОФИЦИАЛЬНОЕ ОПУБЛИКОВАНИЕ
Постановление Правительства Липецкой области от 21.08.2024 № 486
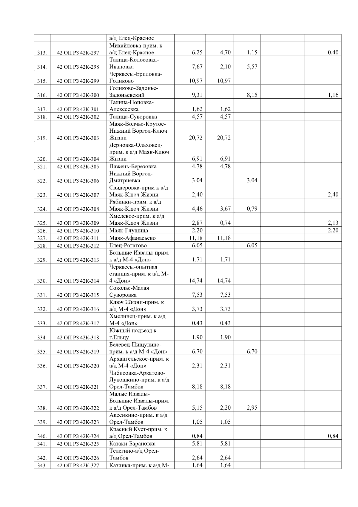
"О внесении изменений в постановление Правительства Липецкой области от 15 августа 2023 года № 439 "Об утверждении критериев отнесения автомобильных дорог общего пользования к автомобильным дорогам общего пользования регионального или межмуниципального значения Липецкой области и Перечня автомобильных дорог общего пользования регионального или межмуниципального значения Липецкой области"
Номер опубликования: 4800202408220006
Дата опубликования: 22.08.2024
Страница №14 из 33:
Увеличить