Официальное опубликование правовых актов
ОФИЦИАЛЬНОЕ ОПУБЛИКОВАНИЕ
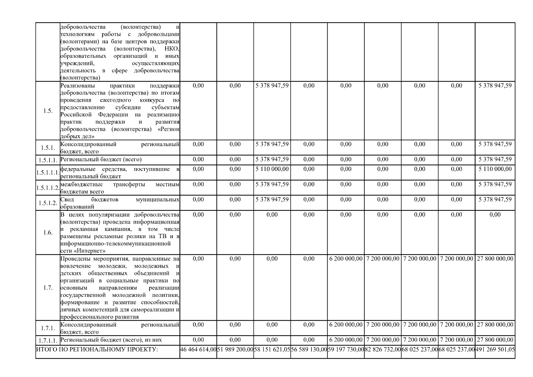
Постановление Правительства Липецкой области от 31.05.2024 № 323
"О внесении изменений в постановление Правительства Липецкой области от 8 декабря 2023 года № 700 "Об утверждении государственной программы Липецкой области "Реализация внутренней политики Липецкой области"
Номер опубликования: 4800202406060004
Дата опубликования: 06.06.2024
Страница №7 из 14:
Увеличить