Официальное опубликование правовых актов
ОФИЦИАЛЬНОЕ ОПУБЛИКОВАНИЕ
Постановление Правительства Липецкой области от 17.05.2024 № 293
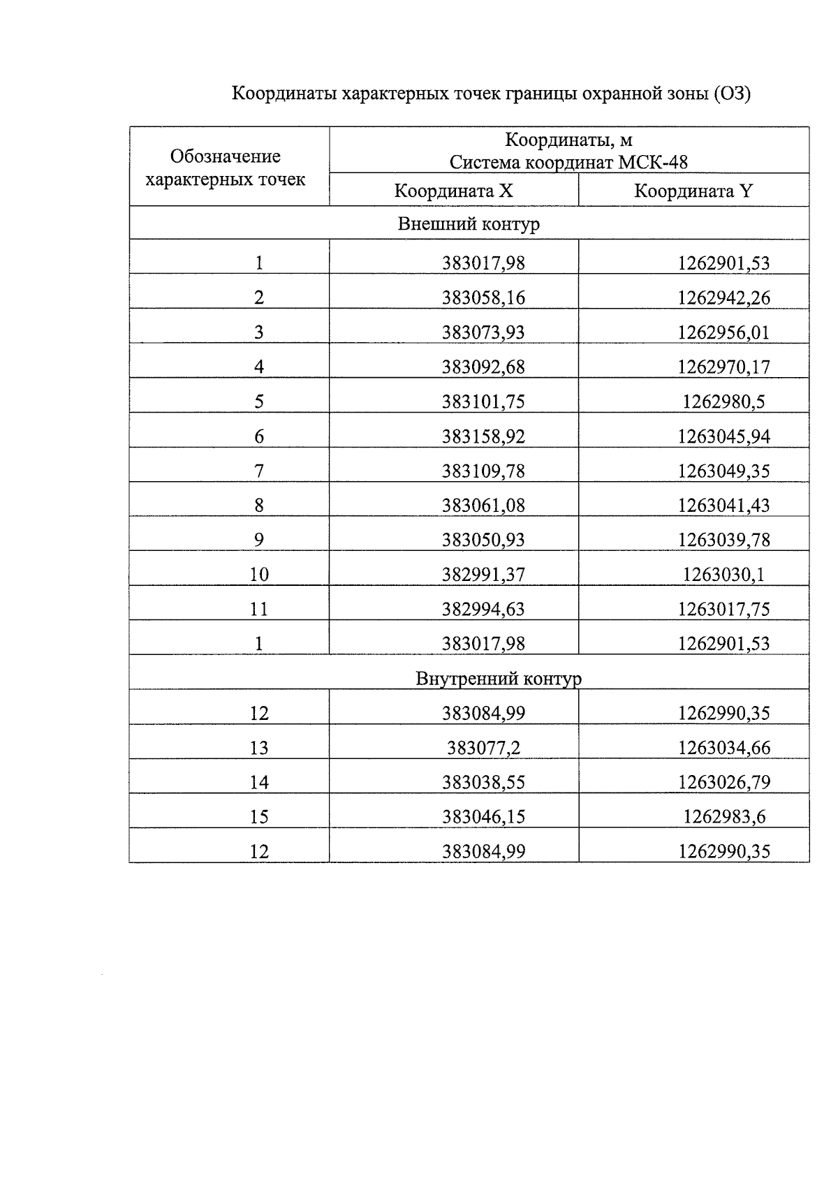
"Об установлении границ зон охраны объекта культурного наследия регионального значения "Церковь Казанская", 1878 г., расположенного по адресу: Липецкая область, Долгоруковский район, с. Долгуша, ул. Лестева, 9, и утверждении требований к градостроительным регламентам в границах территорий данных зон"
Номер опубликования: 4800202405230012
Дата опубликования: 23.05.2024
Страница №5 из 8:
Увеличить