Официальное опубликование правовых актов
ОФИЦИАЛЬНОЕ ОПУБЛИКОВАНИЕ
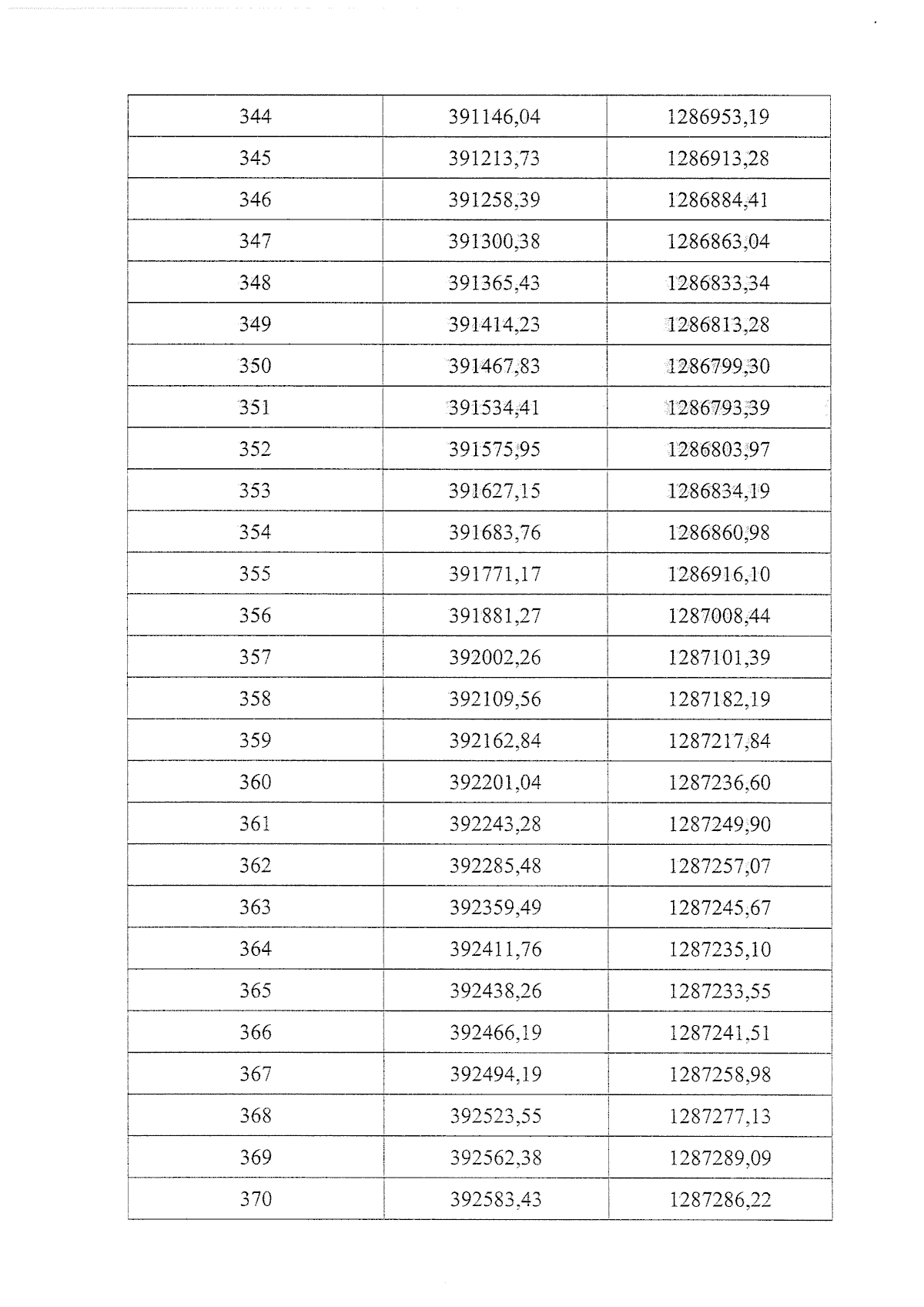
Закон Липецкой области от 24.04.2024 № 479-ОЗ
"О внесении изменений в Закон Липецкой области "Об установлении границ муниципальных образований Липецкой области"
Номер опубликования: 4800202405020008
Дата опубликования: 02.05.2024
Страница №1906 из 2223:
Увеличить