Официальное опубликование правовых актов
ОФИЦИАЛЬНОЕ ОПУБЛИКОВАНИЕ
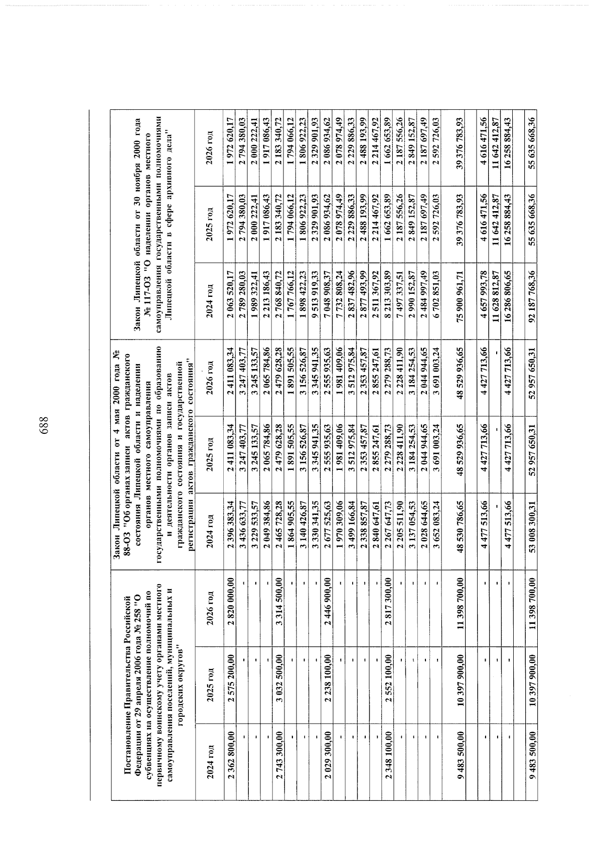
Закон Липецкой области от 24.04.2024 № 470-ОЗ
"О внесении изменений в Закон Липецкой области "Об областном бюджете на 2024 год и на плановый период 2025 и 2026 годов"
Номер опубликования: 4800202404300001
Дата опубликования: 30.04.2024
Страница №688 из 786:
Увеличить