Официальное опубликование правовых актов
ОФИЦИАЛЬНОЕ ОПУБЛИКОВАНИЕ
Постановление Правительства Липецкой области от 23.04.2024 № 260
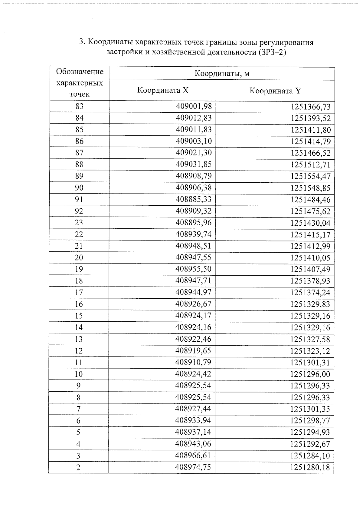
"Об установлении границ зон охраны объекта культурного наследия регионального значения "Церковь во имя иконы Казанской Божией Матери", 1766 — 1770 гг., расположенного по адресу: Липецкая область, Елецкий район, с. Воронец, ул. Клубная, 19, и утверждении требований к градостроительным регламентам в границах территорий данных зон"
Номер опубликования: 4800202404290006
Дата опубликования: 29.04.2024
Страница №19 из 33:
Увеличить