Официальное опубликование правовых актов
ОФИЦИАЛЬНОЕ ОПУБЛИКОВАНИЕ
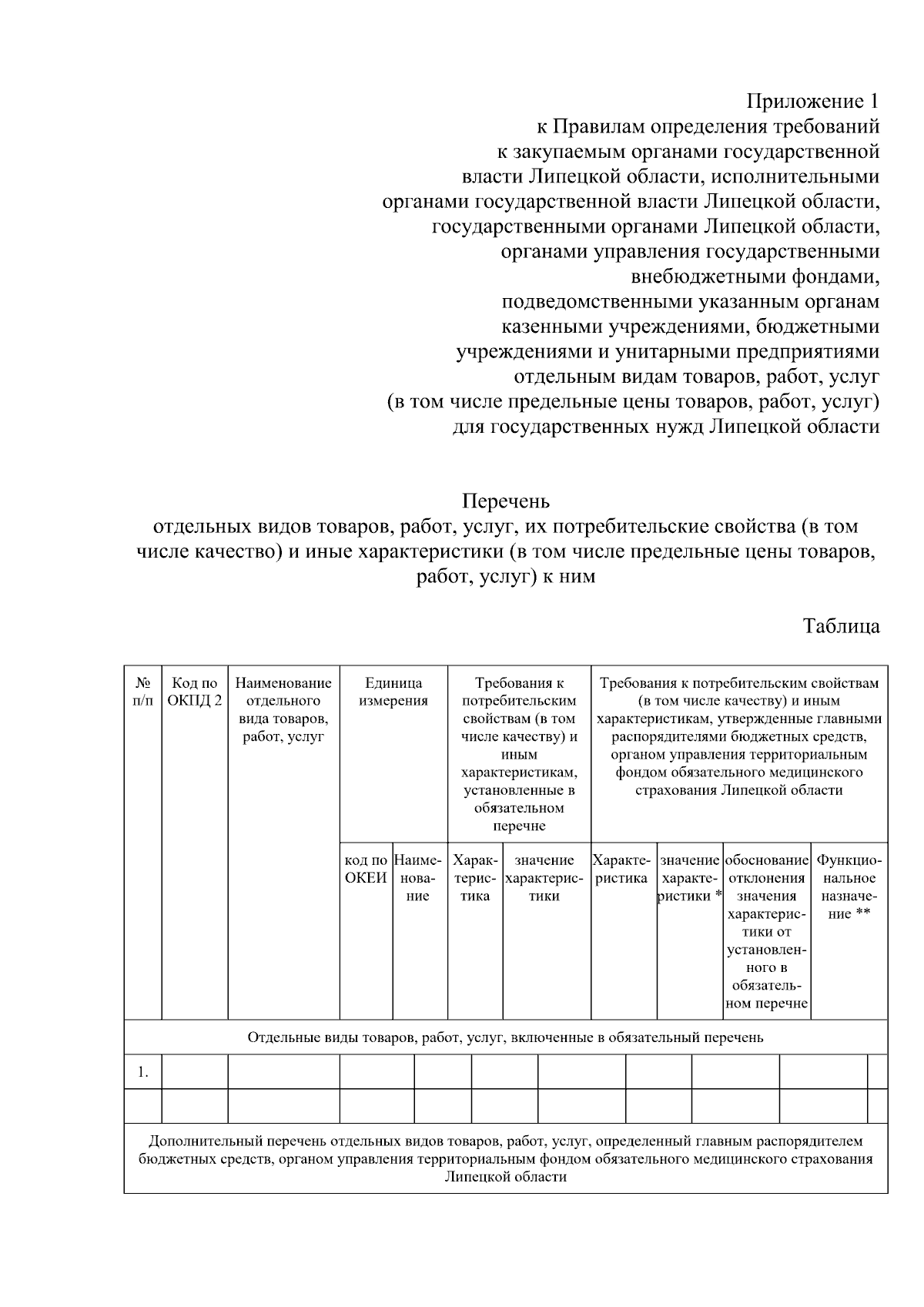
Постановление Правительства Липецкой области от 01.04.2024 № 222
"Об утверждении правил определения требований к закупаемым отдельным видам товаров, работ, услуг (в том числе предельных цен товаров, работ, услуг) для государственных нужд Липецкой области"
Номер опубликования: 4800202404050007
Дата опубликования: 05.04.2024
Страница №5 из 25:
Увеличить