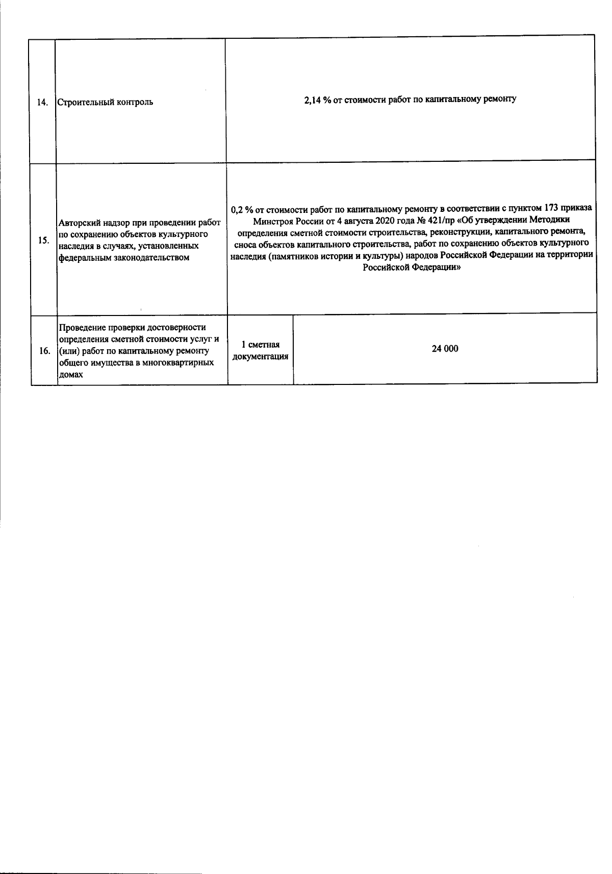
Постановление Правительства Липецкой области от 08.02.2024 № 104
"Об установлении размера предельной стоимости услуг и (или) работ по капитальному ремонту, который может оплачиваться областным оператором за счет средств фонда капитального ремонта, сформированного исходя из минимального размера взноса на капитальный ремонт, на 2024 год"
"Об установлении размера предельной стоимости услуг и (или) работ по капитальному ремонту, который может оплачиваться областным оператором за счет средств фонда капитального ремонта, сформированного исходя из минимального размера взноса на капитальный ремонт, на 2024 год"
Номер опубликования: 4800202402160003
Дата опубликования:
16.02.2024
