Официальное опубликование правовых актов
ОФИЦИАЛЬНОЕ ОПУБЛИКОВАНИЕ
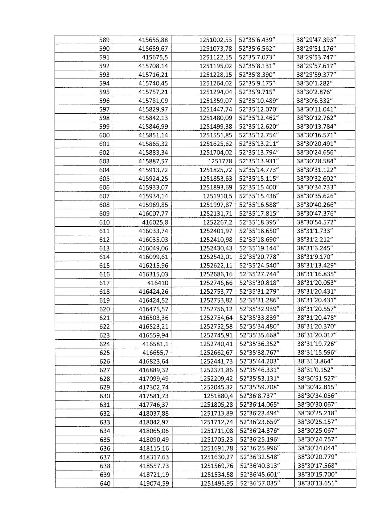
Постановление Правительства Липецкой области от 17.01.2024 № 27 "Об установлении местоположения береговых линий (границ водного объекта), границ водоохранных зон и границ прибрежных защитных полос реки Сосна"
Номер опубликования: 4800202401240005
Дата опубликования: 24.01.2024
Страница №29 из 209:
Увеличить