Официальное опубликование правовых актов
ОФИЦИАЛЬНОЕ ОПУБЛИКОВАНИЕ
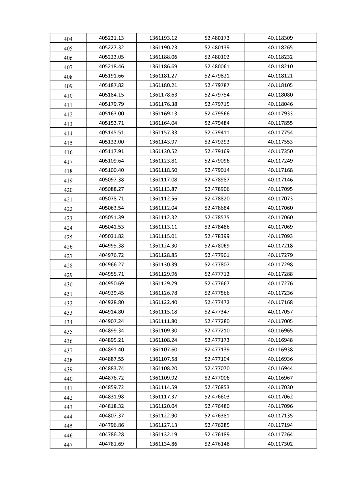
Постановление Правительства Липецкой области от 17.01.2024 № 28 "Об установлении местоположения береговых линий (границ водных объектов), границ водоохранных зон и границ прибрежных защитных полос рек Лукавка, Красивая Меча, участков рек Воронеж, Становая Ряса, Сосна, Дон"
Номер опубликования: 4800202401240004
Дата опубликования: 24.01.2024
Страница №15 из 5156:
Увеличить