Официальное опубликование правовых актов
ОФИЦИАЛЬНОЕ ОПУБЛИКОВАНИЕ
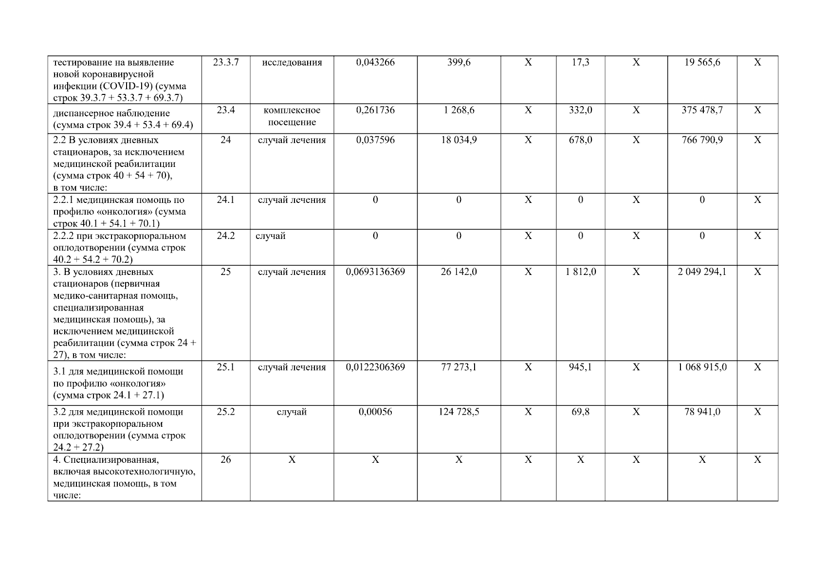
Постановление Правительства Липецкой области от 27.12.2023 № 801 "О внесении изменений в постановление Правительства Липецкой области от 30 декабря 2022 года № 380 "Об утверждении Программы государственных гарантий бесплатного оказания гражданам на территории Липецкой области медицинской помощи на 2023 год и на плановый период 2024 и 2025 годов"
Номер опубликования: 4800202312300003
Дата опубликования: 30.12.2023
Страница №13 из 45:
Увеличить